Научные и прикладные результаты лаборатории 01

2025

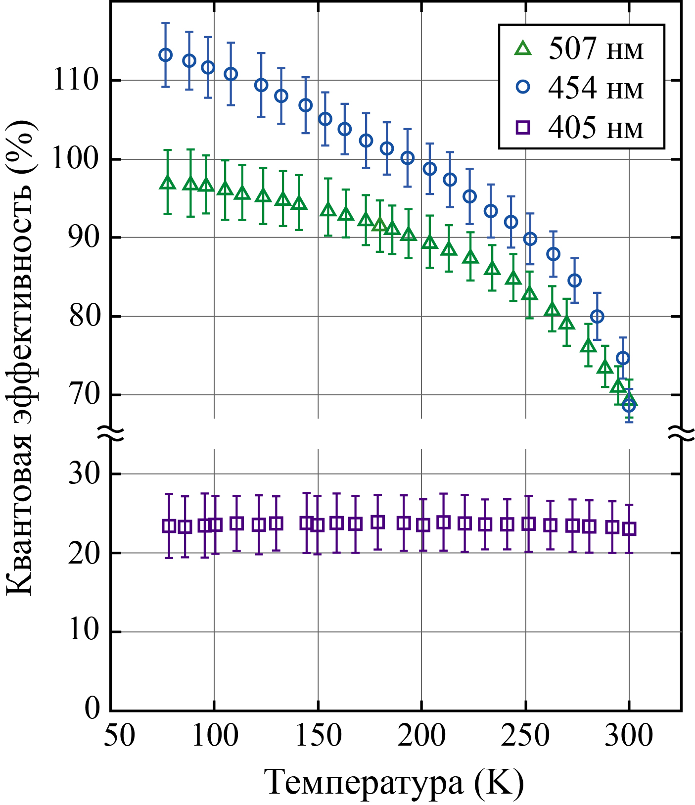
Выбор длины волны накачки существенно влияет на квантовый выход люминесценции лазерной активной среды на основе Ti3+:Al2O3 и его зависимость от температуры

В исследованиях температурной зависимости люминесценции кристаллов Ti3+-Ti4+ в спектральной области лазерной генерации имеет принципиально разные поведения для различных длин волн возбуждающего излучения с понижением температуры активной среды. Обнаружено, что квантовый выход растет при воздуждении на 507 и 454 нм и остается постоянным при возбуждении на 405 нм. При этом при возбуждении на 454 нм и температурах ниже 200 К он достоверно превышает 100%.

Лазеры на основе ионов титана в кристаллах сапфира широко используются в научных исследованиях и практических приложениях, что обусловлено уникальным сочетанием оптических (широкий спектр люминесценции), механических и теплофизических (высокая теплопроводность) характеристик. Особенный интерес для повышения мощностных характеристик выходного излучения и КПД представляют режимы работы при низких, в том числе криогенных температурах активной среды.

Основными полосами поглощения Ti3+ являются полосы с центрами 485 и 560 нм, однако спектр поглощения активированных кристаллов Al2O3 имеет ряд полос поглощения в ИК и УФ областях спектра, вызванные предположительно процессами переноса заряда, дефектами типа центров окраски, ионными парами Ti3+-Ti4+ и в целом еще недостаточно изучен. В частности, при накачке на длине волны 450 нм квантовый выход люминесценции в спектральной области лазерной генерации растет с понижением температуры может превышать выход люминесценции при накачке на длине волны 532 нм [Backus S. et al. Opt. Express, 25, 3666 (2017)]. Существенный рост квантового выхода с понижением температуры при накачке в синей области спектра пока не находит однозначного толкования.

Для исследования температурного поведения квантового выхода люминесценции использовались полупроводниковые лазеры в длинами волн излучения в сине-зеленой области спектра (507, 454 и 405 нм) [1, 2]. Проведено количественное измерение квантового выхода и ширины спектра люминесценции кристаллов Ti3+:Al2O3 при охлаждении до криогенных температур. Обнаружено, что при возбуждении кристалла излучением 405 нм квантовый выход не зависит от температуры кристалла, а при возбуждении на 454 нм превышает 100% при температурах ниже 200 К.

lab01-res2025-TiSa-1lab01-res2025-TiSa-2
Рис. Экспериментальные результаты исследования спектров кристалла Ti3+:Al2O3: а) спектр поглощения при комнатной температуре и аппроксимация гауссовыми контурами с указанными длинами волн центров; стрелками показаны длины волн возбуждения при измерениях квантового выхода; б) температурная зависимость квантового выхода при накачке излучением с длинами волн 507, 454 и 405 нм.

Полученные результаты внесут вклад в определение физических механизмов перераспределения возбуждения между активными центрами в кристаллах Ti3+:Al2O3 и возбуждении излучением в синей области спектра.

 

Публикации

  1. Yakovin D.V., Yakovin M.D., Gribanov A.V., Nikolaev G.N. Increasing the fluorescence efficiency of Ti3+:Al2O3 crystal under cryogenic cooling and diode pumping at 454 and 507 nm // Optoelectronics, Instrumentation and Data Processing. 2025. Issue 4. DOI 10.3103/S8756699025700761. Available online 01 December 2025.
  2. Яковин М.Д., Яковин Д.В., Грибанов А.В., Жилина Е.Ф., Николаев Г.Н. Исследование флуоресценции кристалла Ti3+:Al2O3 при диодной накачке с длинами волн 405, 454 и 507 нм // Квантовая электроника. 2026. (направлено).

2024

Молекулы модельного органического малолетучего соединения (Родамин 6Ж) сохраняют свою целостность при нерезонансной лазерной экстракции из жидкой или твердой фазы

С помощью лазерной резонансной подсветки и спектроскопии исследованы продукты экстракции нелетучих органических молекул (краситель родамин 6Ж как модельный объект) из жидкого раствора в газовую фазу с помощью нерезонансного импульсного лазерного излучения. Показано, что экстракция носит пороговый характер по энергии лазерного импульса; уровень порога снижается по мере сокращения длительности импульсов. Экстракция происходит в виде струй, облаков или их комбинаций при сохранении целостности молекул в газовой фазе, о чем свидетельствует жёлтая люминесценция красителя. Выявлено, что экстрагированные молекулы несут электрический заряд, что дает возможность их захвата и перемещение в газовую ячейку спектрометра для накопления и анализа. Полученные результаты будут использованы на следующих этапах для разработки и построения спектроскопических систем и их кросс-валидации как альтернативы масс-спектрометрии.

В 2023 г. в тематической группе газового анализа была начата поисковая работа по экстракции тяжёлых молекул из биожидкости – в перспективе вплоть до белков. Предполагается, что этот поиск даст ответ на принципиально важный вопрос, ответа на который пока никто не дал: какие метаболиты (лёгкие до 150 или тяжёлые в тысячи и десятки тысяч атомных единиц) являются наиболее информативными мессенджерами заболевания.

В модельных экспериментах получена экстракция молекул красителя (Родамин 6Ж, масса более 400 атомных единиц) из спиртового раствора, а также белка (альбумин, масса 65000 атомных единиц) из водного раствора с помощью мощных 10-пикосекундных лазерных импульсов на длине волны 1.06 мкм. Важно отметить, что применённое излучение не резонансно целевому веществу. При существенно более короткой длительности импульсов по сравнению с наносекундными ультрафиолетовыми импульсами, лежащими в основе известной методики MALDI [1], значительно уменьшаются тепловые эффекты и вероятность разрушения молекул.

Факт экстракции фиксировался а) путём анализа осажденного материала на пробное стекло, помещенное над раствором; и б) в динамике с фотофиксацией с короткой выдержкой и записью видео при просвечивании пространства над подложкой с веществом резонансным непрерывным лазерным излучением (532 нм). Факт вылета вещества из раствора определялся по наличию зелёного свечения над ним. Для иллюстрации на рис. 1 приведено изображение с пояснениями продуктов экстракции из раствора красителя после воздействия лазерного импульса. Видно, что продукты рассеивают зеленое излучение, примесь жёлтой люминесценции красителя не фиксируется. Этот факт объясняется слабостью люминесценции, но также может свидетельствовать в пользу, например, разрушения молекул красителя. Также возможно их отделение в процессе экстракции от растворителя и агрегация с тушением люминесценции.

lab01 res2024 LaserExtraction 1
Рис. 1. Рассеяние тестирующего зелёного излучения на продуктах экстракции из раствора красителя при облучении 10-пс лазерным импульсом

Полученные предварительные результаты ставят необходимой экспериментальную проверку процессов при экстракции: содержат ли продукты отдельные молекулы красителя или их кластеры, в том числе с добавкой растворителя. Предполагается, что в случае экстракции отдельных молекул их последующая спектроскопия даст спектры в газовой фазе, которые можно сравнивать с расчётными. Динамика экстракции молекул с привязкой к экстрагирующему лазерному импульсу может быть исследована с использованием метода временных окон, предложенного и апробированного нами ранее [2]. Можно надеяться, что выход молекул и кластеров из раствора или порошка происходит на разных временных шкалах.

В отчетном году выполнения проекта основное внимание было уделено выяснению являются ли экстрагированные нелетучие молекулы целыми молекулами, или их фрагментами. Было обнаружено [3], что:

а) Жёлтая люминесценция красителя в определенных режимах экстракции свидетельствовала о их сохранности в газовой фазе. А именно, нелетучий краситель Родамин 6Ж эффективно поглощает излучение 532 нм с последующей люминесценцией в области 580 нм (рис. 2, б). Характерные спектры наблюдаемой люминесценции на рис. 2, а иллюстрируют этот результат. В отличие от результата прошлого года (рис. 1), концентрация красителя была увеличена, что и объясняет появление жёлтой люминесценции (рис. 2).

lab01 res2024 LaserExtraction 2
Рис. 2. Иллюстрация к эксперименту по экстракции: а) измеренные спектры люминесценции красителя в разных фазах (синий – в спиртовом растворе, зеленый – в газовой фазе над раствором, сиреневый – осаждённый после экстракции на стеклянную пластинку, помещенную над раствором); б) люминесценция красителя Родамин 6Ж в газовой фазе, экстрагированного из раствора (кювета с красителем снизу)

Важным условием эффективной экстракции являлось появление свечения в образце в области лазерной фокусировки. Выход молекул из жидкости происходил как в виде струй, так и облаков (случай струй показан на рис. 2, б) По аналогии со сценариями подводных взрывов и вхождения тела в жидкость с последующим выбросом воды, мы полагаем, что в нашем случае свечение служит источником ударной волны, которое приводит к созданию двигающегося к поверхности пузыря с молекулами. В зависимости от условий эксперимента он может выйти в воздушное пространство в виде облака, струй, или их комбинации.

б) Необходимая для экстракции пороговая энергия излучения падает по мере уменьшения длительности световых импульсов;

в) Экстрагированные молекулы несут электрический заряд, давая таким образом возможность их последующему перемещению (с помощью приложенного электрического поля) в газовую ячейку спектрометра для анализа. Знак и величина заряда будут исследоваться в 2025 г.

Результаты а)-в) найдут применение для перевода нелетучих молекул (вплоть до белков) из биожидкостей в газовую фазу для их однозначной идентификации, и последующего определения их абсолютных концентраций, что требуется для реализации возможностей метаболомной диагностики здоровья [4].

 

Публикации

  1. M. Karas, D. Bachmann, F. Hillenkamp. Influence of the wavelength in high-irradiance ultraviolet laser desorption mass spectrometry of organic molecules. Anal. Chem. 1985. V. 57. P. 2935. DOI 10.1021/ac00291a042.
  2. Чубаков П.А., Сорокин В.А., Микерин С.Л., Аполонский А.А. Метод спектральных временных окон для исследования сложных динамических процессов. Интерэкспо ГЕО-Сибирь. XIX Междунар. науч. конгр., 17–19 мая 2023 г., Новосибирск [Текст] : сб. материалов в 8 т. Т. 8 : Национальная науч. конф. с междунар. участием «СибОптика-2023. Актуальные вопросы высокотехнологичных отраслей». № 2. Новосибирск : СГУГиТ, 2023. ISSN 2618-981X. С. 92-99. DOI 10.33764/2618-981X-2023-8-2-92-99. EDN JEKYWR
  3. Кучьянов А.С., Чубаков П.А., Сорокин В.А., Аполонский А.А. Перевод молекул родамина из конденсированной фазы в газовую с помощью нерезонансного лазерного излучения // Материалы Международного семинара по волоконным лазерам РФЛ-2024 (Россия, г. Новосибирск, 19-25 августа 2024 г.). С. 209-210. DOI 10.31868/RFL.2024.209-210.
  4. Аполонский А.А. Оптические методы медицинской диагностики // Материалы Международного семинара по волоконным лазерам РФЛ-2024 (Россия, г. Новосибирск, 19-25 августа 2024 г.). С. 234-235. DOI 10.31868/RFL.2024.234-235.

2023

Эффективная диагностика онкологии мочеполовой системы на основе метаболитов выдыхаемого воздуха

Метаболомная диагностика в настоящее время считается наиболее перспективной для раннего определения заболевания. Метаболиты – сложные органические соединения, индицирующие протекание определенных биохимических реакций в организме. Статистически необычный уровень метаболитов может означать наличие заболевания. В отличие от инвазивного забора тканей органов для проведения лабораторных анализов, определить уровень лёгких метаболитов можно неинвазивно при исследовании выдыхаемого человеком воздуха.

Совместно с группой ученых из Института квантовой оптики Макса Планка, Мюнхенского университета Людвига-Максимилиана на базе Урологической клиники и поликлиники LMU Klinikum (Германия) в период 2021-2023 гг. проведено пилотное исследование в малых группах (до 100 человек) здоровых и заболевших людей [1-5].

Отбор добровольцев проводился в госпитале, где врачи определяли наличие онкологии и её стадию путём анализа биопсии ткани (так называемый золотой стандарт), получаемой инвазивным методом. Инфракрасные спектры поглощения образцов выдыхаемых газов анализировались с целью определения молекулярного состава, используя базы данных спектров веществ. Затем применялись различные статистические методы для выявления групп больных и здоровых пациентов по различиям в интенсивности поглощения в выявленных участках спектров, пропорциональной концентрации соответствующих метаболитов. Примеры статистических различий в спектрах поглощения для групп больных и здоровых людей приведены на рис. 1.

specta of Acetaldehide
a)
specta of Methylbutyrate
b)
specta of Propyl propionate
c)
specta of Ethyl vinyl ketone
d)
specta of molecule1
e)
specta of molecule2
f)
Рис. 1. Примеры различий в спектрах поглощения для групп больных и здоровых людей, соответствующих разным концентрациям ацетальдегиду (a), метилбутирату (b), пропил пропионату (c), этил винил кетону (d) и ещё двум молекулам (e, f), выявленным как метаболитам, имеющим отношение к исследуемым заболеваниям

В результате было выявлено восемь специфических метаболитов, пять из которых являются продуктами жизнедеятельности бактерий мочеполовой системы. Впервые удалось получить точность выше 95% отделения группы больных раком простаты от контрольной (здоровой) группы, как и группы больных раком мочевого пузыря и почек от контрольной группы. Для сравнения существующий анализ на ПСА (простатический специфический антиген) тест имеет точность не выше 70%, что означает три неверных диагноза из десяти поставленных. Рис. 2 иллюстрирует степень разделения больных и здоровых пациентов методом главных значений по спектральным данным их выдоха. Полученный результат имеет высокую социальную значимость в связи с 4-м местом рака простаты по смертности в России. За последние 10 лет прирост заболеваемости составил почти 100%, а смертности - 30%, несмотря на развитие методов выявления и лечения.

experimental data
Рис. 2. Иллюстрация степени разделения больных и здоровых (красные точки) пациентов методом главных значений по спектральным данным их выдоха

Если в дальнейших исследованиях подтвердится, что злокачественная опухоль возникает из-за заражения мочеполовой системы бактериями, то после их идентификации можно будет предложить стратегию медикаментозного лечения против этих бактерий, по аналогии с успешно развитым методом профилактики рака желудка, когда этому предшествует заражение бактерией Helicobacter pylori (как правило, в случае гастрита). Предполагаемый успех идентификации бактерий мочеполовой системы даст шанс на предотвращение онкологии не только простаты, но и почек, и мочевого пузыря.

Развиваемый метод диагностики относится к неинвазивным. Такие методы благоприятно сказываются на регулярности проведения мониторинга здоровья и в результате делают возможным более раннее выявление заболевания.

 

Публикации

  1. Apolonski A., Maiti K.S. Towards a standard operating procedure for revealing hidden volatile organic compounds in breath: the Fourier-transform IR spectroscopy case // Appl. Opt. 2021. V. 60, Iss. 14. P. 4217-4224. DOI 10.1364/AO.421994.
  2. Maiti K.S., Fill E., Strittmatter F., Volz Y., Sroka R., Apolonski A. Towards reliable diagnostics of prostate cancer via breath // Sci. Rep. 2021, V. 11, Paper 18381 (11 p.). DOI 10.1038/s41598-021-96845-z.
  3. Maiti K.S., Roy S., Lampe R., Apolonski A. Detection of disease-specific volatile organic compounds using infrared spectroscopy // Engineering Proc. 2021. V. 8(1). Paper 15 (5 p.). DOI 10.3390/engproc2021008015.
  4. Maiti K.S., Fill E., Strittmatter F., Volz Y., Sroka R., Apolonski A. Accurate diagnosis of prostate cancer via infrared spectroscopy of breath // Proc. SPIE. V. 11919, Translational Biophotonics: Diagnostics and Therapeutics (7 December 2021). Paper 119190M (2 p.). DOI 10.1117/12.2614582.
  5. Maiti K.S., Fill E., Strittmatter F., Volz Y., Sroka R., Apolonski A. Standard operating procedure to reveal prostate cancer specific volatile organic molecules by infrared spectroscopy // Spectrochimica Acta Part A: Molecular and Biomolecular Spectroscopy. 2024 (available online 22 August 2023). V. 304. Article 123266 (8 p.). DOI 10.1016/j.saa.2023.123266.

2021

Связь долго затухающей флюоресценции с возникновением долгоживущего поляризованного состояния атомов рубидия

В ячейках с парами рубидия изучены особенности возбуждения долго затухающей флюоресценции при различных геометрических конфигурациях пучков бихроматического лазерного излучения. Проведенные эксперименты показывают, что для возникновения долго затухающей флюоресценции обязательно прямое взаимодействие атомов как с пучком накачки, так и с зондирующим пучком, находящимися в резонансе с трехуровневой Λ схемой, образованной переходами с 52P1/2 на подуровни основного состояния 52S1/2 F=3 и 52S1/2 F=2. Показано, что для возникновения данной особенности флюоресценции не обязательно пространственное совмещение пучка накачки и пробного пучка, что подтверждает представление о связи долго затухающей флюоресценции с возникновением долгоживущего поляризованного состояния атомов рубидия, не разрушающегося при многократных (около 40 раз) столкновениях со стенками кюветы, покрытыми церезином. Основные наблюдаемые эффекты в различных геометрических конфигурациях представлены на рис. 1-3 [1, 2].

experimental data
Рис. 1. Флюоресценция паров Rb при коллинеарном встречном распространении зондирующего излучения и излучения накачки: а) схема измерений; б) сигналы флуоресценции при развертке во времени частоты зондирующего излучения: график 1 зарегистрирован в капилляре (зона 1), график 2 соответствует центру шара (зона 2)

Было обнаружено, что в любом месте тонкой трубки отсутствует медленная флуоресценция. Этот факт позволяет определить число столкновений со стенками ячейки, при которых поляризованное состояние рубидия еще сохраняется. Число столкновений тем самым дает прямую информацию об антирелаксационных свойствах покрытия, нанесенного на стенки кюветы.

experimental data
Рис. 2. Флюоресценция атомов рубидия при косом распространении зондирующего излучения и излучения накачки: а) схема измерений; б) сигналы флуоресценции: график 1 зарегистрирован в зондирующем пучке (зона 1); график 2 – в пучке накачки (зона 2); график 3 – в зоне 2 в отсутствии излучения накачки; график 4 – сигнал флюоресценции из зоны 3, находящейся вне действия лазерных полей
experimental data
Рис. 3. Флуоресценция паров рубидия при наличии зондирующего и возбуждающего излучения в одной или в разных кюветах: а) схема измерений; б) сигналы флуоресценции: когда оба распространяются в одной кювете, графики 1 и 3 зарегистрированы в зоне 1 и 3 соответственно (зондирующий пучок проходит через зону 1, возбуждающий – через зону 3); когда зондирующий и возбуждающий пучки распространяются в разных кюветах, график 2 зарегистрирован в зоне 2 (зондирующий пучок в зоне 1, возбуждающий – в зоне 2)

 

Публикации

  1. 1. [Атутов С.Н.], Сорокин В.А. Оптические релаксационные явления в парах рубидия, помещенных в кювету с антирелаксационным покрытием при бихроматическом лазерном облучении // ЖЭТФ. 2021. Т. 160. (принята в печать).
  2. 14. [Atutov S.N.], Sorokin V.A. Effects of size and dimension in optic relaxation in Rb vapor // IOP Journal of Physics: Conference Series. 2021. V. 2067. Paper 012004 (4 p). DOI: 10.1088/1742-6596/2067/1/012004.

Основные научные и прикладные результаты группы мощных ионных лазеров, достигнутые в период 2003–2018 гг.

  • Завершены исследования ионно-звуковой неустойчивости сильноточного разряда пониженного давления, развитие которой может ограничивать мощность генерации и сокращает срок службы ионных лазеров [5,22,24]. В частности, с помощью методов оптической диагностики плазмы изучены локально-дисперсионные характеристики нижних мод неустойчивости [1,2].
  • Создан мощный эффективный источник непрерывного дальнего ВУФ-излучения для обработки образцов с большой суммарной площадью [14-16,21].
  • Разработан мощный одномодовый Nd:YAG-лазер с накачкой диодными лазерами и 80%-м коэффициентом преобразования излучения во вторую гармонику [4].
  • Проведены исследования по созданию широкоперестраиваемых по частоте источников излучения на основе титан-сапфирового лазера с возможностью внутрирезонаторного удвоения и утроения его частоты генерации до 280 нм [8,17,18], лазеров на красителе [10-12], а также параметрического генератора света с областью перестройки 3-10 мкм. Разработан пакет программ для расчета характеристик нелинейных сред при генерации оптических гармоник вплоть до пятой.
  • Предложен оригинальный метод реализации режимов модуляции добротности и одновременно синхронизации мод в твердотельном лазере с помощью одного АОМ бегущей волны, а также c формированием керровской линзы в удваивающем нелинейном кристалле [26]. В случае диодно-накачиваемого Nd:YAG-лазера этот метод позволяет регулировать в широких пределах длительность импульса (3÷100 пс, 50÷500 нс), частоту их повторения (1÷50 кГц) и существенно (в 107÷108 раз) увеличивать импульсную мощность лазера [23,25,27-29].
  • Исследованы вопросы эффективной селекции ТЕМ00-моды и термооптических искажений в твердотельном лазере с продольной диодной накачкой [30-32]. Разработан мощный одномодовый диодно-накачиваемый Nd:YVO4-лазер с воздушным охлаждением, который помимо высокой мощности имеет высокую оптическую эффективность (≈60%).
  • Обнаружен новый физический эффект - самоорганизация генерации твердотельного лазера с Q-switch и синхронизацией мод, в котором цуги импульсов Q-switch "самопроизвольно" формируются на частоте релаксационных колебаний, а внутри каждого цуга содержатся равноотстоящие пикосекундные моноимпульсы [34,35].
  • Исследована параметрическая генерация среднего ИК-, видимого и УФ-диапазонов спектра от нелинейного кристалла PPLN с синхронной накачкой Nd: YAG-лазером с модуляцией добротности и синхронизацией мод при интенсивности накачки ≤ 10 ГВт/см2. Впервые наблюдалось перестраиваемое излучение с длинами волн вблизи 392, 463 и 822 нм [38].

04-1_2

Рис. 1. Ti3+: Al2O3-лазер (слева) с источником накачки МИЛ-05 (справа)

  1. Donin V.I., Ivanov V.A.,Pickalov V.V., Yakovin D.V. The spatial structure of the lowest ion-acoustic instability modes in the high-current discharge of CW argon ion lasers // J. Phys. D: Appl.Phys.,2003, Vol.36, № 19, P.2366-2371. Загрузить pdf-файл (391 KB)
  2. Донин В.И., Иванов В.А., Пикалов В.В., Яковин Д.В. Пространственная структура нижней моды ионно-звуковой неустойчивости плазмы сильноточного ионного лазера // Журнал технической физики, 2003, т.73, вып.2, с.71-74. Загрузить pdf-файл (233.3 KB)
  3. Яценко А.С. Оптические спектры H- и He- подобных ионов. Новосибирск, Наука, 2003.
  4. Донин В.И., Никонов А.В., Яковин Д.В. Эффективное удвоение частоты в Nd:YAG-лазере с поперечной диодной накачкой // Квантовая электроника, 2004, т.34, №10, с.930-932. Загрузить pdf-файл (124.2 KB)
  5. Донин В.И. Ионные лазеры с непрерывным сильноточным разрядом в однокомпонентном газе. – В кн. ЭНЦИКЛОПЕДИЯ низкотемпературной плазмы. Сер.Б., т.XI-4, с.637-651. Москва, Физматлит, 2005.
  6. Яценко А.С. Оптические спектры Li-и Be- подобных ионов. Новосибирск, Наука, 2005.
  7. Казаков В.Г., Тюменцев А.С., Яценко А.С. Информационная система ”Электронная структура атомов” с динамическим построением графического представления спектральных данных // Автометрия, 2005, т.41, №6, с.115-123.
  8. Грибанов А.В., Донин В.И., Хомутов А.Н., Яковин Д.В. Компактный перестраиваемый ультрафиолетовый Ti:Sa лазер с преобразованием частоты // Сборник трудов Второй междунар. научно-практич. конф. «Исследование, разработка и применение высоких технологий в промышленности», 07-09.02.2006, Санкт-Петербург, т.4, с.153. Загрузить pdf-файл (324 KB)
  9. Донин В.И. Сильноточные дуговые катоды для непрерывных разрядов пониженного давления // Сборник трудов Второй междунар. научно-практич. конф. «Исследование, разработка и применение высоких технологий в промышленности», 07-09.02.2006, Санкт-Петербург, т.4, с.153.
  10. Soldatov A.N., Donin V.I., Yakovin D.V., Reimer I.V. Lasing characteristics of red-emitting laser dyes excited by high PRR Nd:YAG laser second-harmonic radiation // The 8-th Sino-Russian Symp. on Laser Physics and Laser Technologies, Harbin, China, 10-15 August 2006, P.16–19.
  11. Реймер И.В., Солдатов А.Н., Донин В.И., Яковин Д.В. Перестраиваемые источники излучения в красной области спектра с накачкой излучением ЛПМ и 2-ой гармоники Nd:YAG -лазера с диодной накачкой // Тезисы докладов симпозиума «Лазеры на парах металлов» (ЛПМ-2006), посвященного 90-летию со дня рождения А.М. Прохорова, Лоо, 25-29 сентября 2006г., Ростов-на-Дону, 2006, с.54.
  12. Soldatov A.N., Donin V.I., Yakovin D.V., Reimer I.V. Laser dyes excited by high PRR Nd:YAG laser second-harmonic radiation // Proc. SPIE, 2007, Vol.6938, P.6938O1-6938O4. Загрузить pdf-файл (201.7 KB)
  13. Яценко А.С. Оптические спектры B- и C- подобных ионов. Новосибирск, Наука, 2007.
  14. Донин В.И. Универсальный дуговой источник ВУФ–фотонов и химически активных частиц. Патент РФ № 2324255. // Бюл. № 13, 10.05.2008. (Приоритет от 12. 07.2006).
  15. Донин В.И. Мощный высокоэффективный источник непрерывного дальнего ВУФ излучения для обработки п/п материалов // Тез. докл. Российского совещания по актуальным проблемам п/п фотоэлектроники «Фотоника 2008», 19-23 авг. 2008, Новосибирск, с.104.
  16. Донин В.И. Мощный высокоэффективный источник непрерывного дальнего ВУФ излучения для облучения образцов с большой суммарной площадью // Письма в ЖТФ, 2009, т.35, вып.5, с.66-72. Загрузить pdf-файл (185.3 KB)
  17. Donin V.I., Yakovin D.V., Gribanov A.V. The titan-sapphire laser pumped by the second harmonic radiation of the diode-pumped pulse Nd:YAG laser for the purposes of two-photon spectroscopy // Proc. The 9-th Russian-Chinesse Symposium on Laser Physics and Technologies, Oct. 26-31, 2008, Tomsk, P.196-198. Загрузить pdf-файл (572.6 KB)
  18. Грибанов А.В., Донин В.И., Яковин Д.В. Титан-сапфировый лазер с импульсной накачкой второй гармоникой излучения диодно-накачиваемого Nd:YAG лазера для целей двухфотонной спектроскопии // Квантовая электроника, 2009, т.39, №3, с.244-246. Загрузить pdf-файл (375.4 KB)
  19. Казаков В.Г., Раутиан С.Г., Яценко А.С. Компьютерное представление характеристик электронных оболочек атомов // Оптика и спектроскопия, 2008, т.106, №1, с.53-58.
  20. Яценко А.С. Оптические спектры N- и O- подобных ионов. Новосибирск, Наука, 2009.
  21. Донин В.И. Мощный высокоэффективный источник дальнего ВУФ излучения для обработки полупроводниковых материалов // Изв. ВУЗов. Приборостроение, 2009, т.52, №6, с.74-77.
  22. Донин В.И. Мощные непрерывные ионные лазеры // Изв. ВУЗов. Физика, т.53, №5/2, с.47-55, 2010. Загрузить pdf-файл (1 MB)
  23. Донин В.И., Яковин Д.В., Грибанов А.В. Синхронизация мод нелинейным кристаллом в зеленом Q-switch Nd:YAG лазере с диодной накачкой // Труды молодежной школы-конференции с междун. участием «Лазеры и лазерные технологии», посвящен. 50-летию первого в мире лазера, 22-27 ноября 2010, г.Томск , с.51-52.
  24. Донин В.И. Мощные непрерывные ионные лазеры // Труды молодежной школы-конференции с междун. участием «Лазеры и лазерные технологии», посвящен. 50-летию первого в мире лазера, 22-27 ноября 2010, г.Томск , с.192.
  25. Донин В.И., Никонов А.В., Яковин Д.В., Грибанов А.В. Мощный одномодовый диодно-накачиваемый Nd:YAG–лазер с излучением гармоник 0,532 мкм и 0,355 мкм для прецизионной обработки материалов // Доклады IV Всероссийской конференции «Взаимодействие высококонцентрированных потоков с материалами в перспективных технологиях и медицине», 22-25 марта, 2011 г. Новосибирск, с.70-73. Загрузить pdf-файл (1.59 MB)
  26. Донин В.И., Яковин Д.В., Грибанов А.В. Лазер с модуляцией добротности резонатора и синхронизацией мод. Патент РФ № 2478242. // Бюл. № 9, 27.03.2013. (Приоритет от 07.06.2011).
  27. Donin V.I., Yakovin D.V., Gribanov A.V. Diode-pumped green Nd:YAG laser with Q-switch and mode locking // Optics Letters,v.37,No3, p.338-340, 2012. Загрузить pdf-файл (382 KB)
  28. Донин В.И., Яковин Д.В., Грибанов А.В. Модуляция добротности и синхронизация мод в диодно-накачиваемом Nd:YAG лазере с удвоением частоты // Квантовая электроника, т.42, № 2, с.107-110, 2012. Загрузить pdf-файл (579 KB)
  29. Donin V.I., Yakovin D.V., Gribanov A.V. Diode-Pumped Nd:YAG Green Laser with Q-Switch and Mode Locking. - In book: Nd YAG Laser, p.97-110, InTech, 2012. Загрузить pdf-файл (673 KB)
  30. Донин В.И., Яковин Д.В., Яковин М.Д. Эффективный одномодовый Nd:YVO4 лазер с продольной диодной накачкой на длине волны 808 нм // Квантовая электроника, 2013, т.43, №10, С.903-906. Загрузить pdf-файл (554 KB)
  31. Донин В.И., Яковин Д.В., Яковин М.Д. Эффективная селекция TEM00 моды в мощном Nd:YVO4 лазере с диодной накачкой 808нм Изв.ВУЗов. Физика, 2013,т.56, №11, С. 5-9.
  32. Donin V.I., Yakovin D.V., Yakovin M.D. Effective selection of TEM00 mode in powerful Nd:YVO4 laser with diode pumping 808 nm // Invited in: The 11-th Russian-Chinese Symposium on Laser Physics and Laser Technologies, May 9-13,2013,Tomsk. http://tic.tsu.ru/www/uploads/smartsection/92_Programm.pdf
  33. Яковин М. Д., Бойко А.А. Параметрический генератор света в среднем ИК-диапазоне для целей молекулярной спектроскопии // Изв.ВУЗов. Физика, 2013, т.56, №10/2, С. 94-96.
  34. Донин В. И., Яковин Д. В., Грибанов А. В. Самоорганизация режима Q-switch с одновременной синхронизацией мод в диодно-накачиваемом Nd:YAG-лазере // Письма в ЖЭТФ, т.101, вып. 12, с. 881-884, 2015. Загрузить pdf-файл (494 KB)
  35. Донин В. И., Яковин Д. В, Грибанов А. В. Структура пикосекундных импульсов генерации в диодно-накачиваемом Nd:YAG-лазере с модуляцией добротности и синхронизацией мод // Квантовая электроника, т.45, №12, с.1117-1120, 2015. Загрузить pdf-файл (849 KB)
  36. Чолач А. Р., Яковин Д. В. Применение методов ИК спектроскопии и масс-спектрометрии для контроля степени чистоты трифторида азота // Материалы X Всероссийской конференции «ХИМИЯ ФТОРА», 01-05 июня 2015, Томск, с.181-183.
  37. Яценко А. С., Казаков В. Г., Казаков В. В., Ковалев В. С. "Электронная структура атомов" и другие информационные системы по атомной спектроскопии: возможности специализации и кооперации в среде Интернет // Труды XVIII объединенной конференции "Интернет и современное общество" (IMS-2015). Университет ИТМО, библиотека РАН. Санкт-Петербург, 2015, июнь, с.353-359 (РИНЦ).
  38. Донин В.И., Яковин М.Д., Яковин Д.В. Параметрический генератор света среднего ИК, видимого и УФ диапазонов с синхронной накачкой излучением Nd : YAG-лазера с модуляцией добротности резонатора и синхронизацией мод // Квантовая электроника, т.46, №7, с.601-605, 2016. Загрузить pdf-файл (647 KB)
  39. Донин В.И., Трубецкой А.В., Грибанов А.В., Яковин Д.В., Затолокин В.Н. Лазер с модуляцией добротности резонатора и синхронизацией мод. Патент РФ № 2606348 // Бюл. №1, 10.01.2017.
  40. Донин В. И., Яковин Д. В., Грибанов А. В., Яковин М. Д. "Новый метод управления длительностью импульсов генерации в твердотельных лазерах", труды XXV международной конференции "Лазерно-информационные технологии в медицине, биологии, геоэкологии и транспорте - 2017", 4 - 9 сентября 2017 г. Новороссийск, С. 13.
  41. Donin V. I. et al. Superluminescent high-efficient parametric generation in PPLN crystal with pumping by a Q-switched mode locked Nd: YAG laser // Laser Physics Letters, v. 15, №. 3, p. 035005, 2018.
  42. Донин В. И., Яковин Д. В., Грибанов А. В., Яковин М. Д. Новый метод модуляции добротности резонатора с синхронизацией мод в твердотельных лазерах // Оптический журнал, т. 85, №. 4, с. 8-11, 2018.
  43. Грибанов А. В., Донин В. И., Яковин Д. В. Режимы генерации Nd: YAG-лазера с синхронизацией мод акустооптическим модулятором бегущей волны и сферическим зеркалом // Квантовая электроника, т. 48, №. 8, с. 699-702, 2018.
  44. Донин В. И., Яковин Д. В., Грибанов А. В., Яковин М. Д. Параметрическая генерация в кристалле PPLN при накачке излучением Nd : YAG-лазера с модуляцией добротности и синхронизацией мод: сравнение суперлюминесцентного и однорезонаторного режимов // Квантовая электроника, т. 48, №. 10, с. 936–940, 2018.
  45. V. I. Donin, D. V.Yakovin, A. V. Gribanov and M. D. Yakovin “New Method of Control of the Duration of Output Pulses in Solid-state Lasers”, International Conference on Semiconductors Optoelectronics and Nanostructures, p. 27, August 20-21, 2018, Paris, France.
  46. V. I. Donin, D. V.Yakovin and M. D. Yakovin “Parametric generation in PPLN crystal with pumping by a Q-switched mode locked Nd:YAG laser: Comparison of super luminescent and singly-resonant regimes”, International Conference on Laser, Optics and Photonics, p. 13, August 23-24, 2018, Paris, France.

Прикладные разработки

Мощный одномодовый диодно-накачиваемый твердотельный лазер (pdf)

Мощный одномодовый диодно-накачиваемый Nd:YVO4лазер с воздушным охлаждением (pdf)

2020

Вращательная перестройка периода интерференции в системе, состоящей из беззеркального двухлучевого интерферометра и неподвижного относительно него фотоприемника

Впервые предложена и проанализирована не юстируемая система двухлучевой интерферометр – фотоприемник, в которой положение симметричной интерференционной картины фиксируется на фотоприемнике, неподвижном относительно интерферометра. При этом интерферометр представлен единственным элементом — светоделительным кубиком. Система обладает предельными компактностью и виброустойчивостью по сравнению с другими устройствами аналогичного назначения. Пространственная частота перестраивается в интервале 100–2500 мм–1 (λ = 540 нм) или 200–4000 мм–1 (240 нм). Система может найти применение в области исследования новых фоточувствительных материалов (голография, фоторезисты), для создания рельефных периодических структур (интерференционная литография), записи брэгговских решеток в оптических волокнах.

PhC stop-zoneResponce
a)b)
Рис. (a) Схема интерферометра: 1 — источник излучения, 2 — светоделительный кубик, 3 — делительное зеркало, 4 — фотоприемник, 5 — исходный пучок, 6 и 7 — интерферирующие пучки, 8 — основание; Z — ось вращения, перпендикулярная плоскости рисунка. (b) Перестроечные характеристики при диаметре световых пучков D = 0,1A: α1 и α2 — нижняя и верхняя границы диапазона перестройки и Δα — его ширина в зависимости от базового угла падения θ0 исходного пучка 5.

 

Публикации

  1. Угожаев В.Д. Двухлучевой интерферометр. Патент РФ на изобретение № 2697892 // Опубликовано 21.08.2019, Бюллетень изобретений. – № 24.
  2. Угожаев В.Д. Вращательная перестройка периода голографической решетки в беззеркальном интерферометре с неподвижным фотоприемником // Автометрия. - 2020. - Т. 56, № 1. - с. 109-123. - DOI: 10.15372/AUT20200112.

2019

Изучение механизмов адсорбции аммиака на поверхность кремнезема позволило существенно раширить диапазон чувствительности фотонно-кристаллического датчика

Ранее в исследованиях, проводимых в Лаборатории физики лазеров Института автоматики и электрометрии СО РАН с фотонно-кристаллическими пленками, сложенными из упорядоченных наношариков кремнезема, обнаружилась высокая чувствительность оптических свойств пленок к присутствию паров воды и аммиака. Изменения оптических свойств оказались весьма избирательны к этим газам. Обнаруженный эффект был применен для разработки нового типа сенсора на пары аммиака.

Полярные молекулы аммиака и воды обладают близкими свойствами при взаимодействии с поверхностью кремнезема. Поэтому для выяснения возможностей сенсора была поставлена задача изучить воздействия паров воды от аммиака по раздельности, что сделать совсем не просто. Аммиак способен растворяться в воде в крайне больших объемах, и наличие даже исчезающе малых количеств воды даже в адсорбированном состоянии на поверхности шариков уже способно влиять на механизм взаимодействия паров аммиака с сенсорной системой.

Отклик кремнеземной пленки изучался двумя различными методами: в одном пленка как целое использовалась в качестве интерферометра Фабри-Перо, оптический путь в котором меняется при взаимодействии с газом, а в другом - благодаря упорядоченной наноструктуре пленки, как фотонный кристалл, в котором изменяется спектральное положение запрещенной зоны в отраженном свете. Образец пленки помещался в герметичную камеру, куда могли селективно напускаться газы в сухом азоте, и вместе с нею мог удерживаться при повышенной температуре вплоть до 120 С с целью полного освобождения наноструктурированной кремнеземной пленки от молекул воды.

Внесение в камеру с предварительно обезвоженным образцом сухого аммиака при комнатной температуре приводило к смещению спектрального положения запрещенной зоны (рис., a) аналогично тому, как это происходит с парами воды. При этом продувание сухим азотом восстанавливало исходное положение зоны. Если же силанольные группы (Si-OH) на поверхности кремнезема деактивируются при термическом отжиге образца при 150 С, взаимодействия с сухим аммиаком не обнаруживается. Полученные данные показывают, что молекулы аммиака способны взаимодействовать с поверхностью и без молекул воды, образовывая слабые водородные связи, и легко разрывать их, покидая поверхность. При этом при концентрациях до 1000 ppm физическая адсорбция является основным механизмом отклика сенсора, который быстро насыщается с повышением концентрации, в то время как отклик на влажность в отстутствии аммиака остается линейным в диапазоне практически от 0 до 100%.

Оказалось, что при слабом присутствии паров воды, благодаря линейному отклику на воду и конкуренции между процессами конденсации воды и аммиака, насыщение отклика на аммиак пропадает (рис., b). Отклик в диапазоне больших концентраций аммиака вплоть до величины порядка 105 ppm остается близким к линейному. Было показано, что высокая концентрация не приводит к деградации или отравлению сенсора.

В результате диапазон чувствительности разрабатываемого оптического сенсора аммиака расширяется до десятков объемных процентов. Сохраняя возможность измерять весьма малые концентрации, разрабатываемый сенсор остается чувствительным к весьма большим концентрациям аммиака без деградации своих свойств. Принимая во внимание, что токсичный аммиачный газ используется в промышленности, полученные результаты представляют большой практический интерес.

PhC stop-zoneResponce
a)b)
Рис. Отклик сенсора фотонно-кристаллической кремнеземной пленки. a) Положение запрещенной зоны (полосы в спектре отражения) предварительно обезвоженной пленки при 25 C: в сухой азотной атмосфере (RH = 0%, sigma(NH3) = 0%); в присутствии сухого (RH = 0%, sigma(NH3) = 10%) и сильно влажного (RH = 80%, sigma(NH3) = 10%) аммиака. b) Изменение интерференционных полос в зависимости от концентрации (на врезке показан подробный график для диапазона низких концентраций).

 

Публикации

  1. Kuchyanov A.S., Chubakov P.A., Chubakov V.P., Mikerin S.L. Nonlinear interaction of silica photonic crystals with ammonia vapor // Results in Physics. - 2019. - V. 15. - Paper 102726. - p. 1-4. - DOI: 10.1016/j.rinp.2019.102726.

2018

Покрытие стенок ячейки может сильно влиять на длительность свечения возбужденных атомов рубидия

Аномально долгая флуоресценция паров рубидия

Сотрудники Лаборатории физики лазеров Института автоматики и электрометрии СО РАН в совместной работе с Институтом лазерной физики СО РАН обнаружили новое интересное явление - аномально долгое время затухания флуоресценции атомов Rb в вакуумной ячейке с покрытием из церезина (см. рис. 1). Это время на шесть порядков больше, чем время затухания возбужденных атомов рубидия в нормальных условиях. Этот необычайно длительный распад может наблюдаться только в высококачественных ячейках с покрытием, обеспечивающим длительное сохранение возбужденного состояния атомов, при оптической накачке на атомных подуровнях основного состояния. Было обнаружено, что в этих условиях распад не является экспоненциальным.

lab01 res2018 Rb fluor fig
Рис. 1. Спектр флюоресценции атомов Rb в усвловиях постоянного возбуждения оптического перехода 5S1/2 (F=3) -> 5P3/2 лазерным излучением фиксированной частоты. Спектр получен как функция времени при сканировании частоты излучения измерительного лазера. Тонкими вертикальными линиями отмечены начало и конец диапазона сканирования частоты; жирной линией - момент, когда сканируемая частота совпадает с фиксированной частотой.

 

Исследование численной модели на основе полной матрицы плотности показало, что наиболее вероятным механизмом наблюдаемого явления является процесс перераспределения заселённости по подуровням основного состояния атомов Rb. Однако, понимание природы затягивания распада ещё требует углубленного изучения.

Обнаруженное явление очень интересно не только с академической точки зрения, но может быть использовано, например, для изучения качества различных анти-релаксационных покрытий в резонансных ячейках, что важно для создания атомных часов с рекордной стабильностью. Исследование опубликовано в качестве препринта в архиве Корнельского Университета [1].

Публикации

  1. Atutov S.N., Sorokin V.A., Bagayev S.N., Skvortsov M.N., Taichenachev A.V. Peculiar long-term fluorescence of Rb atoms in coated vapor cell with internal atomic source // arXiv:1808.04992 [physics.optics]. - 2018. - (11 pages).

2017

Спазеры как биологический зонд

NatureCommLogoСотрудники Лаборатории физики лазеров Института автоматики и электрометрии СО РАН, Института неорганической химии им. А. В. Николаева СО РАН, Арканзасского университета медицинских наук (США) и Университета штата Джорджия (США) в своей совместной работе предложили новый тип сверхконтрастного водорастворимого биосовместимого многофункционального наноразмерного зонда для различных биомедицинских применений in vitro и in vivo. Результаты исследований и применения спазеров опубликованы в престижном журнале Nature Communications [1] и стали возможны благодаря проведенным ранее исследованиям генерации вынужденного излучения спазерами на основе наночастиц золота [2-8].

Зонд представляет собой конструкцию размером всего 22 нм из золотой частички и оболочки из диоксида кремния (рис. 1), содержащей активные молекулы красителя, и способен генерировать вынужденное излучение (спазерный эффект) непосредственно внутри живых клеток (рис. 2). Авторами продемонстрирован режим генерации, связанный с образованием динамического пузырька пара вокруг зонда, который приводит к гигантскому увеличению интенсивности излучения и сужению его спектра. В результате спазеры излучают более, чем в 100 раз ярче, с шириной спектра в 30 раз более узкой, чем при том же уровне накачки квантовые точки, которые также могут использоваться как зонды. Продемонстрированный режим расширяет функциональность применения спазеров, позволяя реализовывать фототермическую и фотоакустическую визуализацию и терапию при меньшем уровне накачки.

spasersspasers in cell
Рис. 1. Спазеры с металлическими наночастицами разных форм и кластеры спазеров в клетке (справа).
Cell 2
Рис. 2. Вынужденное излучение спазеров в клетке.

Для демонстрации некоторых возможностей применения спазеров как биологических зондов поверхность диоксида кремния была ковалентно функционализирована фолиевой кислотой для молекулярного нацеливания на раковые клетки. Эксперименты с культурами раковых и нормальных клеток человека показали нетоксичность зондов, высокую селективность скопления функционализированных спазеров в раковых клетках и эффективное разрушение раковых клеток при возбуждении спазерной генерации. При этом для разрушения достаточно всего нескольких наносекундных лазерных импульсов возбуждения. Излучение от клеток, маркированных спазерами, регистрируется сквозь миллиметровый слой крови, а также сквозь ткани уха мышей, что невозможно при маркировке квантовыми точками.

Дальнейшие разработки спазеров для биологических применений позволят перейти из видимого диапазона спектра излучения в инфракрасный (в область прозрачности биологических тканей), получить более узкие линии излучения и фотоакустические резонансы с накачкой для увеличения чувствительности детектирования зонда и его специфичности.

Публикации

  1. Galanzha E.I., Weingold R., Nedosekin D.A., Sarimollaoglu M., Nolan J., Harrington W., Kuchyanov A.S., Parkhomenko R.G., Watanabe F., Nima Z., Biris A.S., Plekhanov A.I., Stockman M.I., and Zharov V.P. Spaser as a biological probe. - Nature Communications. - 2017. - V. 8. - Article number: 15528. - DOI: 10.1038/ncomms15528.
  2. Galanzha E.I. , Weingold R., Nedosekin D.A., Sarimollaoglu M., Kuchyanov A.S., Parkhomenko R.G., Plekhanov A.I., Stockman M.I., Zharov V.P. Spaser as novel versatile biomedical tool // arXiv:1501.00342 [cond-mat.mes-hall] (2015).
  3. Galanzha E., Weingold R., Nedosekin D.A., Sarimollaoglu M., Nolan J., Harrington W., Kuchyanov A.S., Parkhomenko R.G., Watanabe F., Nima Z., Biris A., Plekhanov A.I., Stockman M.I., Zharov V.P. Спазеры как биологический зонд // Материалы 7-го Российского семинара по волоконным лазерам (Новосибирск, Россия, 5-9 сентября 2016 г.). - с. 39.
  4. Benimetskiy F., Plekhanov A., Kuchyanov A., Parkhomenko R., Basova T. Characterization of the structure and stimulated emission of spherical and cylindrical spasers // Proceedings of the International Conference “Days on Diffraction 2016” (St. Petersburg, Russia). - ISBN: 978-1-5090-5800-6. - IEEE Cat. No.: CFP16489-ART. - P. 62-66.
  5. Бенимецкий Ф.А. Экспериментальное исследование одиночных спазеров // Материалы 54-ой МНСК, Секция Квантовая физика, (16-20 сентября 2016, Новосибирск). - С. 53.
  6. Benimetskiy F.A., Plekhanov A.I., Kuchyanov A.S., Parkhomenko R.G., Basova T.V. Experimental realization of surface plasmon laser // The 14th International Conference of Near-Field Optics, Nanophotonics and Related Techniques (September, 4-8, 2016, Hamamatsu, Japan). - P. 338.
  7. Benimetskiy F.A., Plekhanov A.I., Kuchyanov A.S., Parkhomenko R.G., Basova T.V. Experimental realization of surface plasmon laser // VII Intern. Symposium "Modern problems of laser physics" (Novosibirsk, Russia: 22-28 August, 2016). Technical digest. - p. 123.
  8. Benimetskiy F., Basova T., Parkhomenko R. Kuchyanov A., Plekhanov A. Surface Plasmon Laser based on Au Nanoparticles in a Solution for Visible and Near IR Region // The 7th International Conference on Surface Plasmon Photonics (SPP7), May 31 - June 5, 2015, Jerusalem, Israel. - Abstracts of Poster Presentations, Part I (June 4, 2015), p. 43.

Spaser as a biological probe

Cancer tumors are known for their ability to proliferate or metastasize. This happens either through cancer cells spreading through lymphatic nodes or by the so called circulating tumor cells (CTC’s). In the difficult task of cancer diagnostics and therapeutics (the so-called theranostics), the easiest task may be removal or destruction of the primary tumor but fighting the cancer cells migrating through the lymphatic system at the CTC’s traveling through blood vessels is an altogether different and much more difficult problem.

To diagnose and treat cancer, it is of primary importance to be able to see and differentiate them from normal tissues. For this purpose, one highlights the cancer cells by marking them with labels that usually are fluorescent objects: dye molecules or tiny semiconductor nanospheres called quantum dots. A requirement for such labels is that they emit bright light under optical illumination. This emission should be bright enough and have characteristic colors to be distinguishable from light scattering produced by the living tissues1. For use in vivo, these labels should be biocompatible and non-toxic for a human organism. Some of the labels can also be used for therapy, in particular, for photodynamic therapy2 or for thermal therapy3: killing the cancer cells due to photo-production of chemically active singlet oxygen or heat.

Dye molecules or semiconductor colloidal quantum dots (SCQD’s) as fluorescent labels have common fundamental drawback: their emitting intensity is limited by the radiative decay rate of the fluorescing excite state (usually on the order of a nanosecond) and saturates (levels off) when the laser intensity increases to a moderate level on the order of a MW/cm2. This intensity can potentially be increased by increasing the concentration of the fluorescent label but the toxicity may become problematic in such a case, especially for the SCQD’s. Additionally, the absorption and emission lines of organic dyes are spectrally rather wide, which limits the achievable spectral selectivity. This disadvantage of wide spectra and low spectral selectivity is especially pronounced for the plasmonic nanoparticles used as theranostic agents3.

A radically novel idea is pioneered in a recent article4 by Galanzha et al. where theranostic applications of a spaser (Surface Plasmon Amplification by Stimulated Emission of Radiation) are introduced and developed. The spaser as a phenomenon and device was proposed in 2003 by Bergman and Stockman5-6 and later developed and observed in a large number of works, in particular, see selected citations in ref. 4. Spaser is a plasmonic counterpart of laser where photons (quanta of electromagnetic field) are replaced by surface plasmons (quanta of electromechanical oscillations). The cavity (resonator) of a laser is replaced in the spaser by a metal nanoparticle (the spaser core), which supports surface plasmons whose fields are tightly nanolocalized in the vicinity of this core. Excitation of the spaser with an external laser pump causes generation of electron-hole pairs in the spaser shell and the stimulated near-field emission of coherent plasmons into the metal nanoparticle core (“resonator”) of the spaser – see Fig. 1 (a) and (b). Today the spasers are observed in a wide spectral range, from ultraviolet, across all visible, and into mid infrared; they are of many configuration and sizes. Now it looks like there will always be a spaser suitable for any particular nanoscopic job.

Spaser
Fig. 1. Principles of spaser and its theranostic applications. (a) Schematic of the spaser geometry where the metal nanocore is surrounded by a thin insulating shell and the gain nanoshell containing a fluorescent dye uranine. The color bar provides a scale for local optical field amplitude. (b) Schematic of the spaser functioning principles. The pumping radiation excites electron-hole pairs that relax in energy down to the spasing level. The energy is transferred in the near-field to surface plasmons by stimulated emission of plasmons without photon radiation. (c) Spectrum of the spaser emission inside the cells where a giant narrow spaser line dominates over the spontaneous emission (pump laser is attenuated by a filter). (d) Electron micrograph where the spaser nanoshells (the grey circles of the gain medium surrounding a dark point-like core) are seen inside a living cancer cell. (e) Emission of a single spaser inside a cancer cell is shown in real colors. (f) The same as (f) but for multiple spasers up took by the cell. (g) Photothermal image of a living cell showing multiple spasers inside.

The fundamental advantage of the spaser over the conventional laser in micro- and nanoscopic application is that it is a near-field quantum generator, and its size can be much smaller than the wavelength – on the order of sizes of biological molecules and viruses. Its fundamental advantage also is that in contrast to common fluorescent labels its emission does not saturate: it is a stimulated emission and its intensity linearly depends on the pump power as long as the spaser is not physically damaged. Consequently, the brightness of the spaser and the energy released inside the targeted cell are orders of magnitude greater for the spaser than for conventional labels. The intensity and spectral brightness of the spaser radiating inside a living cell are of unprecedented total and, especially, spectral brightness – see Fig. 1 (c). A new intriguing property of transient vapor nanobubble around spaser that it can play the role of dynamic optical resonator with positive feedback amplifying spaser light and creating thus “giant” lasing that is important for cancer diagnosis at cellular levels in deep tissue. The spasers are chemically conjugated with folate to selectively target tumor cells internalized them as seen in Fig. 1 (d). The radiation of the spaser is so bright that even one spaser is well seen inside the cell [Fig. 1 (e)]. Multiple spasers produce unprecedented bright images within a cell [Fig. 1 (f)]. They are also excellent agents for photothermal and photoacoustic imaging because they also are equally efficient, unsaturable nano-generators of heat inside the cells – see [Fig. 1 (g)], which are greatly advantageous over conventional imaging and theranostics agents7-9. Moreover, ultrasharp photoacoustic resonances and red-blue resonance spitting8 can improve identification of targeted cancer cells in complex absorption background.

The enormously large and unsaturable optical absorption by the spasers and the corresponding efficient generation of heat, nanobubbles8 and shock waves inside the cell allows one to effectively use them for theranostics – just a few laser pulses are sufficient to reliably kill tumor cells using photomechanical effects within the irradiated volume without damaging the healthy cells. Indeed, laser-induced nanobubbles around the heated spaser during fast expansion and collapse provide the high kinetic energy and localized pressure that can damage vital structures of triple negative breast cancer cells that are resistant to conventional therapy. One can envision that it will become possible to detect and eliminate single CTC’s as they pass through a blood vessels: a very intense and highly monochromatic (narrow-spectral-band) radiation of the spasers will allow one to continuously monitor the passage of the CTC’s through surface blood vessels. As soon as a CTC is detected via its spaser radiation, a high-power laser pulse is sent that kills these CTC’s, one tumor cell at a time. And this only the beginning of using the spaser phenomenon in biomedicine.

References

  1. Garland, M., Yim, Joshua J. & Bogyo, M. A bright future for precision medicine: Advances in fluorescent chemical probe design and their clinical application. Cell Chemical Biology 23, 122-136, doi:10.1016/j.chembiol.2015.12.003 (2016).
  2. Dolmans, D. E. J. G. J., Fukumura, D. & Jain, R. K. Photodynamic therapy for cancer. Nat Rev Cancer 3, 380-387 (2003).
  3. Bardhan, R., Lal, S., Joshi, A. & Halas, N. J. Theranostic nanoshells: From probe design to imaging and treatment of cancer. Accounts Chem. Res. 44, 936-946, doi:10.1021/ar200023x (2011).
  4. Galanzha E.I., Weingold R., Nedosekin D.A., Sarimollaoglu M., Nolan J., Harrington W., Kuchyanov A.S., Parkhomenko R.G., Watanabe F., Nima Z., Biris A.S., Plekhanov A.I., Stockman M.I., and Zharov V.P. Spaser as a biological probe. - Nature Communications. - 2017. - V. 8. - Article number: 15528. - DOI: 10.1038/ncomms15528.
  5. Bergman, D. J. & Stockman, M. I. Surface plasmon amplification by stimulated emission of radiation: Quantum generation of coherent surface plasmons in nanosystems. Phys. Rev. Lett. 90, 0274021-0274024 (2003).
  6. Stockman, M. I. The spaser as a nanoscale quantum generator and ultrafast amplifier. Journal of Optics 12, 0240041-02400413, doi:10.1088/2040-8978/12/2/024004 (2010).
  7. Boyer, D., Tamarat, P., Maali, A., Lounis, B. & Orrit, M. Photothermal imaging of nanometer-sized metal particles among scatterers. Science 297, 1160-1163, doi:10.1126/science.1073765 (2002).
  8. Zharov, V. P. Ultrasharp nonlinear photothermal and photoacoustic resonances and holes beyond the spectral limit. Nature Photonics 5, 110-116, doi:10.1038/nphoton.2010.280 (2011).
  9. Wang, L. V. & Hu, S. Photoacoustic tomography: In vivo imaging from organelles to organs. Science 335, 1458-1462, doi:10.1126/science.1216210 (2012).

2015-2016

Парадокс разрывных траекторий фотонов, отслеживаемых методом «слабых измерений» в составном интерферометре Маха–Цендера

В недавней статье А. Данана с сотрудниками (Phys. Rev. Lett. 111, 240402 (2013)) было экспериментально продемонстрировано интригующее поведение фотонов в интерферометре. Упрощенная схема экспериментальной установки, представляющей вложенный интерферометр Маха–Цендера (ИМЦ), приведена на рисунке. Разные зеркала внутри ИМЦ вибрируют с различными частотами. Поворот какого-либо зеркала приводит к вертикальному сдвигу светового пучка, отраженного от этого зеркала. Этот сдвиг измеряется квадратичным фотодетектором QCD. Когда частота вибрации определенного зеркала появляется в спектре мощности регистрируемого сигнала, авторы статьи заключают, что фотоны были возле этого зеркала.

lab01-res2016-en-MZI-fig

Упрощенная экспериментальная установка с двумя вложенными интерферометрами Маха—Цендера. A, B, C, E, и F обозначают зеркала; P1 и P2 – поляризаторы; BS1 и BS2, и PBS1 и PBS2 обозначают обычные и поляризационные делители пучков, соответственно. Элементы BS1, A, B, и BS2 формируют внутренний ИМЦ, а элементы P1, PBS1, C, E, F, PBS2 и P2 – внешний ИМЦ.

Поразительный результат получается, когда внутренний ИМЦ настраивается на деструктивную интерференцию света, распространяющегося к зеркалу F. В этом случае спектр мощности содержит не только пики на частоте вибрации зеркала C, но и два дополнительных пика на частотах вибраций зеркал A и B; пики же на частотах вибраций зеркал E и F отсутствуют. Из этих результатов авторы заключают, что прошлое фотонов не представляется непрерывными траекториями, поскольку фотоны регистрируются внутри внутреннего ИМЦ и не регистрируются вне его.

Эти необычные результаты вызвали оживленную дискуссию. Тем не менее, до сих пор не было проведено всестороннего и ясного анализа такого эксперимента в рамках теории классических электромагнитных волн. В частности, было не выяснено, является ли природа отсутствия пиков на частотах зеркал E и F одинаковой, или различной.

Мы показываем, что, учитывая а) малость отклонения световых пучков из-за вибраций зеркал и б) аксиальную симметрию пучков, разность мощностей света, поглощаемых в верхней (y0) и нижней (y0) ячейках QCD, может быть представлена в следующем виде:

formulae

где I0 – интенсивность света на входе составного ИМЦ, f(x,y) – нормированная амплитуда распределения пучка света (formulae), δi – вертикальное смещение пучка света на QCD, вызванное вибрацией зеркала i, φij ≡ φi - φj, φi – изменение фазы светового пучка в процессе его распространения от входа составного ИМЦ к зеркалу i и, далее, к QCD.

В случае деструктивной интерференции внутреннего ИМЦ (φA = φC = φB ± π), выражение в фигурных скобках для разности D принимает вид {...} = {δA - δB + δC}. Природа отсутствия пиков на частотах вибраций зеркал E и F различна. Отклонение зеркала E одинаково сдвигает пучки в верхнем и нижнем плечах внутреннего ИМЦ, не изменяя его деструктивной интерференции. Отклонение же зеркала A (или B) приводит к возмущению деструктивной интерференции внутреннего ИМЦ, пропорциональному δAB). Более того, возникающий из-за этого выходящий пучок из внутреннего ИМЦ является антисимметричным относительно оси y вследствие аксиальной симметрии исходного пучка света и малости отклонения зеркал. В свою очередь, изменение этого выходящего пучка из-за отклонения зеркала F является симметричным и, следовательно, не измеряемым при помощи QCD.

Следует подчеркнуть, что измеряемый сигнал D полностью обусловлен интерференцией модулированной и немодулированной частей световых пучков в ИМЦ. Так, в случае деструктивной интерференции внутреннего ИМЦ (φA = φC = φB ± π), немодулированная часть имеется только у пучка света, распространяющегося вдоль нижнего плеча внешнего ИМЦ. Когда этот световой пучок, движущийся от зеркала C, перекрывается, все пики исчезают.

Итак, мы просто объяснили парадоксальные результаты обсуждаемой статьи в рамках традиционной концепции классических электромагнитных волн. Таким образом, нет никакой необходимости во введении новой концепции разрывных траекторий.

Публикации

  1. Nikolaev G.N. Paradox of photons discontinuous trajectories being located by means of “weak measurements” in the nested Max-Zehnder interferometer// Technical digest of the VII International Symposium and Young Scientists School “Modern problems of laser physics”, ISBN: 978–5–85957–131–4 (Novosibirsk, Russia, 22 – 28 August, 2016), pp. 208 – 209.

 

Радиационные переходы, вынужденные собственным излучением плазмы

Нелинейные явления в спектроскопии обусловлены вынужденными радиационными переходами. Их масштабное исследование началось с появлением лазеров, обеспечивших необходимый уровень интенсивности световых полей, и сотрудники Лаборатории физики лазеров ИАиЭ СО РАН внесли достойный вклад в эту деятельность мирового научного сообщества.

Однако в возбужденных средах всегда присутствует собственное спонтанное излучение, которое также может индуцировать вынужденные переходы. Здесь мировой приоритет в обнаружении и исследовании вынужденных переходов, инициированных собственным излучением, принадлежит сотрудникам Лаборатории физики лазеров (см. литературу в работах [1-4]).

Последующие исследования тлеющего разряда в смеси изотопов неона привели к обнаружению вынужденных процессов, инициированных излучением одиночных атомов [5-9]. Результаты опытов указывали на когерентное излучение света парой осцилляторов, принадлежащих разным, пространственно разнесенным изотопическим атомам. Полученные результаты необычны как для спектроскопии газоразрядной плазмы, так и в целом для физики.

В [7] было выяснено, что аномальные резонансы порождаются переходами, имеющими невырожденный уровень, в широкой спектральной области (от УФ- до ИК-переходов) и отвечают пересечению частот зеемановских π- и σ-компонент этих переходов при значениях магнитных полей, соотвествующих их изотопическим сдвигам. Это позволило выдвинуть гипотезу о связи механизма образования оптикомагнитных резонансов пересечения частот (ОМРПЧ) с эффектами близкодействия, с реактивными, квазистатическими электрическими полями (КСП) ближней зоны излучения. Ранее эта зона атомов была недоступна наблюдению, и этим определяется интерес к исследованию данных аномальных резонансов. В работе [8], где исследовались ОМРПЧ, регистрируемые на изолированных спектральных линиях, было подтверждено, что положение ОМРПЧ не зависит от длины волны регистрируемой линии, а ОМРПЧ проявляются в виде изменения населенности родительских переходов.

В работе [9] были представлены 4 типа ОМРПЧ, различающихся по форме, и их происхождение объяснено в рамках единой концепции нестационарной интерференции реактивных полей ближних зон излучения атомов. В этой концепции различие типов резонансов связывается с разными способами синхронизации фаз полей. Резонансы в ней описываются тригонометрическими функциями sinс(x)s = sin(x)/х и sinс(x)q = [sin(x–π/2) + 1]/х, х=Ω/Г, где Г – параметр ширины резонанса, а Ω – расщепление частот полей в единицах параметра ширины (в опытах с магнитным полем это Эрстеды). Физически они описывают нестационарную интерференцию колебаний двух разных частот (биение амплитуд) при обрывном ограничении времени регистрации 1/Г (усреднении биений по времени) в зависимости от разности частот Ω, как функцию с протяженными крыльями затухающих сателлитов.

Функция sinс(x)s отвечает разности фаз полей равной нулю, т. е. синфазной синхронизации, и резонансы этой формы (пик в центре) получили название синфазных ОМРПЧ. Таков один из зарегистрированных типов ОМРПЧ. Он, как и в эффекте Дике, объясняется межатомной корреляцией спонтанного распада пары близко расположенных атомов, но при наличии магнитного поля дополнительно присутствует прецессия атомных диполей, а при отстройке его от резонанса появляется разность частот переходов, затрудняющая корреляцию совместного распада.

Функция sinс(x)q отвечает разности фаз полей равной π/2, присущей вынужденному излучению и квадратурной синхронизации, когда при интерференции складываются только квадраты амплитуд. Поэтому резонансы, отвечающие этой форме (дисперсиоподобный контур в центре) получили название квадратурных ОМРПЧ. Зарегистрированы три типа квадратурных ОМРПЧ. Один из них, порождаемый переходами с нижним вырожденным уровнем и выглядящий как разность двух квадратурных резонансов разных ширин, назван разностным. Другой, порождаемый переходами с инверсией населенности, получил название кооперативного квадратурного резонанса. Здесь вынужденное испускания примесного изотопа порождается не КСП одиночного атома, а суммарным протяженным по времени КСП кооперативного когерентного эффекта (сверхизлучения Дике), наблюдаемого в макроскопических объемах больших длины волны излучения.

На рисунке представлен график такого опыта, демонстрирующего форму производной резонанса, порождаемого переходом 3s2-3p1 c длиной волны 4,22 мкм. Он получен в разряде гелия, напущенного в откачанную кювету после работы со смесью изотопов неона с целью обезгаживания (очистки от изотопов). При отжиге продолжалась регистрация излучения, в течение которой из нестабильной структуры сигнала (тонкие линии) по мере десорбции неона из катода в разряд, сформировались протяженные крылья сателлитов квадратурного ОМРПЧ (более жирная линия, аппроксимирующая экспериментальные точки, отвечающие совпадению записей прямого и обратного проходов диапазона сканирования магнитного поля). При этом в остальных опытах сателлиты у синкусов отсутствовали. Это объясняется стабильностью продолжительности времени регистрации интерференции, определяемой в данном случае только временем накопления энергии фотона hω/2π вынужденно излучающим атомом примесного изотопа. В других случаях время совместного существования КСП атомов пары изменяется от пары к паре и сателлиты усредняются.

lab01-res2016-ru-Transitions-fig

В работе [10] ОМРПЧ были применены для решения непростой задачи измерения изотопического сдвига основного состояния неона. ОМРПЧ, индуцируемые резонансными переходами, позволили решить эту задачу без использования узкополосных перестраиваемых лазерных источников в XUV диапазоне спектра, которые задействовались для этой цели ранее, и уточнить сдвиг.

Публикации

  1. Раутиан С.Г. , Сапрыкин Э.Г. // Опт. и спект. - 2002. - Т. 92., № 3. - c. 385-395.
  2. Сапрыкин Э.Г., Селезнев С.Н., Сорокин В.А. // Письма в ЖЭТФ. - 2002. - Т. 76., Вып. 3. - с. 322-327.
  3. Сапрыкин Э.Г., Селезнев С.Н., Сорокин В.А. // ЖЭТФ. - 2002. - Т. 124, Вып. 6(12). - с. 1232-1240.
  4. Раутиан С.Г., Сапрыкин Э.Г., Черненко А.А. // Опт. и спектр. - 2008. - Т. 104, № 4. - c. 630-639.
  5. Сапрыкин Э.Г., Сорокин В.А. Аномальные оптикомагнитные резонансы в спонтанном испускании смеси четных изотопов неона // Tруды IV международной конференции «Проблемы фундаментальной оптики» (Санкт-Петербург, 2006 г.). - с. 173-175.
  6. Сапрыкин Э.Г., Сорокин В.А., Шалагин А.М. Изотопические аномальные оптикомагнитные резонансы в смеси четных изотопов неона // ЖЭТФ. - 2013. - Т. 143, Вып. 4. - с. 622-633.
  7. Сапрыкин Э.Г., Сорокин В.А. Идентификация аномальных оптико-магнитных резонансов в интегральном излучении смеси четных изотопов неона // Опт. и спектр. - 2014. - Т. 117, № 1. - c. 18-29.
  8. Сапрыкин Э.Г., Сорокин В.А., Шалагин А.М. Наблюдение узких изотопических оптико-магнитных резонансов в излучении на отдельных спектральных линиях неона // Квантовая электроника. - 2015. - Т. 45, № 7. - с. 672-679.
  9. Сапрыкин Э.Г. Оптикомагнитные резонансы, индуцированные интерференцией реактивных полей ближней зоны излучения атомов, в тлеющем разряде смеси четных изотопов неона // ЖЭТФ. - 2016. - Т. 149, Вып. 2. - с. 251-266.
  10. Сапрыкин Э.Г. Изотопические сдвиги основного состояния неона: уточнение результатов измерений // Опт. и спектр. - 2016. - Т. 120, №2. - с. 222-232.

Нелинейные резонансы в спектроскопии пробного поля

Нелинейные явления, возникающие при взаимодействии лазерного излучения с атомами. получили применение не только как метод спектроскопического исследования веществ, но и лежат в основе многочисленных практических применений. Теоретический анализ этих явлений в газовых средах развивался, начиная с 60-х лет прошлого века для невырожденных двухуровневых и трехуровневых Λ- и Λ- схем, а в последующем и для описания вырожденных переходов. В мировой тренд построения фундамента нелинейной спектроскопии сотрудники ИАИЭ СО РАН и лаборатории Физики лазеров внесли существенный вклад. Однако ряд специфических эффектов, обусловленных вынужденными переходами в поле сильной световой волны, был в свое время упущен. Прогресс в обнаружении таких эффектов в настоящее время, обусловлен применением методов математического моделирования, которые позволяют исследовать схемы переходов, труднодоступные экспериментальному исследованию, и при интенсивностях лазерного излучения не допускающих аналитическое представление результатов. Полученные в последние годы результаты расширяют наши представления о физических процессах, протекающих при взаимодействии лазерных волн с атомами.

В первую очередь, отметим работу [1] о выяснении роли спонтанного испускания по рабочему переходу в спектроскопии пробного поля двухуровневых систем при наличии спонтанного распада уровней системы на третьи уровни. Здесь в дополнение к традиционному провалу в структуре нелинейного резонанса появляется упущенная ранее структура, меняющая знак от совпадающего с провалом, до инвертированного. Особенно выразительно это выглядит для случая движущихся атомов и встречных волн, изображенного на рис. 1, где нижний уровень принят долгоживущим. Здесь узкая структура вблизи центра резонанса отсутствует при условии равенства коэффициента Эйнштейна Amn разности констант релаксации уровней (Гm - Гn). Если же Amn больше этой разности, то структура представлена провалом, а если меньше, то инвертируется в пик.

lab01-res2016-ru-Resonance-fig1

Рис. 1.

Подобная зависимость структуры резонанса от степени открытости перехода, естественно, должна присутствовать и на переходах с вырождением уровней. Однако в этом случае появляется зависимость от поляризации лазерных волн и возможность порождения и переноса магнитной когерентности уровней. При этом круг явлений, приводящих к возникновению инвертированных резонансов, оказывается довольно широким, и не всегда причины их появления получали адекватное толкование, чаще интерпретация таких резонансов вызывала затруднения. В работе [2] рассмотрены случаи таких заблуждений (в частности, с 50-и летней историей) с обоснованием правильной интерпретации. Более детально рассмотрены работы последних лет, демонстрирующие зависимость от взаимной поляризации лазерных волн инверсии резонансов электромагнитно-индуцированной прозрачности (ЭИП) и резонансов электромагнитно-индуцированной абсорбции (ЭИА) в методе магнитного сканирования.

Наиболее ярко поляризационные особенности проявляются для замкнутых переходов, когда верхнее состояние распадается только на нижний уровень перехода. На рис. 2 представлена форма резонанса для ортогональных (кривая 1) и для параллельных (кривая 8) линейных поляризаций полей. В работе представлены зависимости амплитуд провала и пика от значений параметров насыщения сильного и пробного полей, параметра ветвления излучения с верхнего уровня, времен жизни уровней и расщепления уровней (например, магнитным полем). В присутствии расщепления уровней меньшем, чем 0.1Гmn, резонансы меняют форму (кривые 2-4 и кривые 7-5). При большом расщеплении наблюдаются отдельно резонансы пропускания, симметрично смещенные относительно центра (так называемые родительские резонансы), и пики поглощения в центре линии (перекрестные резонансы).

lab01-res2016-ru-Resonance-fig2

Рис. 2.

При исследовании резонансов ЭИА выяснено, что основным физическим процессом, определяющим поведение амплитуд резонансов, регистрируемых на опыте, является непосредственно магнитная когерентность подуровней, основного состояния, наводимая полями когерентных волн, а вовсе не спонтанный перенос магнитной когерентности возбужденного состояния в основное, как это следует из опубликованных на момент проведения исследования работ.

Публикации

  1. Сапрыкин Э.Г., Черненко А.А., Шалагин А.М. Роль спонтанного испускания по рабочему переходу в спектроскопии пробного поля двухуровненых систем // ЖЭТФ. - 2016. - Т. 150, Вып. 2(8). - С. 238-245. DOI: 10.7868/S0044451016080046
  2. Сапрыкин Э.Г., Черненко А.А., Шалагин А.М. Поляризационные явления в эффектах прозрачности и абсорбции, индуцированных полем встречных волн // ЖЭТФ. - 2014. - Т. 146, Вып. 2. - С. 229-239. DOI 10.7868/S0044451014080021.

Возбуждение широполосного терагерцового излучения в полингованных нелинейно-оптических полимерах

Методом оптического выпрямления фемтосекундных лазерных импульсов получена генерация терагерцовых импульсов в образцах пленок на основе полиимидов с ковалентным присоединением молекул хромофора типа DR. Квадратичные нелинейно-оптические свойства пленкам придавали в процессе приготовления за счет ориентации молекул хромофора во внешнем электрическом поле с помощью накладных электродов предложенной конфигурации. В образце пленки толщиной менее 1 мкм при воздействии фемтосекундных лазерных импульсов за счет оптического выпрямления возбуждаются короткие (несколько колебаний поля, Рис. а) терагерцовые импульсы с амплитудой в 200 раз большей на единицу толщины, чем в кристалле ZnTe толщиной 500 мкм. При этом ширина спектра получаемых импульсов ограничена только длительностью импульса накачки (Рис. б). Исследованная полимерная композиция перспективна для создания в когерентных спектрометрах источников импульсного широкополосного терагерцового излучения, а также как электрооптическая активная среда для создания чувствительных сверхскоростных модуляционных устройств.

lab01-res2016-en-THz-emit-fig1a

а)

lab01-res2016-en-THz-emit-fig1b

б)

Рисунок. а) Полученный ТГц импульс (на врезке импульс от кристалла ZnTe толщиной 0,5 мм); б) Спектр мощности полученного импульса (пунктиром показан спектр мощности огибающей импульса накачки).

Публикации

  1. Микерин С.Л., Плеханов А.И., Симанчук А.Э., Якиманский А.В. Новые оптические нелинейные материалы для генерации коротких импульсов терагерцевого диапазона на основе органических полимеров // Квант. электроника. - 2016. - Т. 46, №. 7. - С. 609–611. DOI: 10.1070/QEL16020

2014

Фотоэкстракция молекулярных газов из полимерной органической пленки

Впервые изучено явление десорбции молекулярных газов с поверхности полимерной пленки в присутствии диффузии молекул газа из приповерхностного объема (фотоэкстракция). Исследовалась фотоэкстракция различных молекулярных газов из полимерной пленки полидиметилсилоксана (ПДМС). Измерено изменение плотности молекулярных газов в зависимости от длительности освещения, интенсивности и длины волны света и температуры покрытия. Установлена линейная зависимость скорости фотоэкстракции от интенсивности падающего света. Подобно фотоэффекту фотоэкстракция отсутствует в длинноволновой области спектра вплоть до 550 нм. После преодоления порога около 550 нм в коротковолновой области эффект резко возрастает (рисунок, а). Эффект фотоэкстракции отсутствует при температурах меньше температуры стеклования ПДМС (−125 °С), при которых, как известно, объемная диффузия молекулярных газов в пленке сильно подавлена (рисунок, б). При длительном облучении пленки количество фотоэкстрагированных молекул экспоненциально падает со временем. Это падение сопровождается длинным хвостом диффузионной формы. Представленные результаты позволяют утверждать, что эффект фотоэкстракции имеет нетепловую природу и демонстрирует важную роль, которую играет в процессе отделения молекул от поверхности под действием света объемная диффузия.

lab01-res2014-photodes2-a

а)

lab01-res2014-photodes2-b

б)

Рисунок. а) Относительное изменение плотности газа пропена (C3H6) в зависимости от длины волны света; б) Относительное изменение плотности газа этана (C2H6) в зависимости от температуры.

Публикации

  1. Атутов С.Н., Данилина Н.А., Плеханов А.И., Потешкина К.Д. Фотоэкстракция молекулярных газов из полимерной органической пленки. Письма в ЖЭТФ. Т. 99, № 11. С. 766-770.
  2. Atutov S.N., Calabrese R., Plekhanov A. I., Tomassetti L. Diffusion and photodesorption of molecular gases in a polymer organic film. The European Physical Journal D. 2014. V. 68, No. 1. P. 1-6. DOI 10.1140/epjd/e2013-40468-7

2013

Узкие темные резонансы в спонтанном излучении газовой смеси четных изотопов неона

Экспериментально обнаружено новое явление – подавление спонтанного излучения в газовой смеси изотопов 20Ne и 22Ne. Эффект проявляется в виде узких оптикомагнитных резонансов (ОМР)  изменения интенсивности свечения газа при сканировании продольного магнитного поля. Положение ОМР (±1400 Гс и ±900 Гс) отвечает резонансным условиям, когда изотопический сдвиг компенсируется с помощью эффекта Зеемана. Узость ширин ОМР свидетельствует о подавлении эффекта Доплера, т.е. атомы разных изотопов, дающих вклад в резонансы, покоятся друг относительно друга. В этих условиях имеет место коррелированное спонтанное испускание пары изотопов с уменьшенной вероятностью.

2013-FigDarkRes-ver1

График 1 –  пример экспериментального производной оптико-магнитного контура, на котором отчетливо наблюдается несколько резонансов, центрированных в области ±900 Гс и в области ±1400 Гс; 2 – расчетный контур, когда учтены изотопические сдвиги в мультиплете 2p–1s.
 

Изотопические ОМР наблюдаются при низком давлении газа p ≈ 0,2 мм.рт.ст. и в узком интервале изменения давления – Δp/p ~ 0,1. Для образования ОМР требуется присутствие обоих изотопов – 20Ne и 22Ne.  Резонансы в области ±1400 Гс обусловлены  уменьшением свечения газовой смеси.

Полученные результаты не противоречат гипотезе об образовании перепутанных состояний пары атомов разных изотопов неона.

Публикации

  1. Сапрыкин Э.Г., Сорокин В.А., Шалагин А.М. Эмиссионные аномальные оптикомагнитные резонансы в смеси четных изотопов неона // ЖЭТФ. 2013. Т. 143. вып. 4. С. 622-633.
  2. Sorokin V.A. About nature of opto-magnetic resonances in light emission from gas mixture of even neon isotopes. Techical digest. VI International Symposium MPLP 2013, P.182, Novosibirsk, Russia, August 25-31, 2013.

Фотодесорбция молекулярного азота с поверхности стекла

Экспериментально исследована фотодесорбция молекулярного газа азота со стеклянных поверхностей при облучении их ксеноновой лампой. С помощью модельного эксперимента продемонстрировано, что максимальная импульсная плотность десорбированного азота достигается в ячейках цилиндрической формы минимальных радиусов и с источниками света, размещенными внутри ячеек.

Полученные результаты могут позволить радикально увеличить чувствительность существующих сенсоров для детектирования малых газовых примесей в воздухе, а также для создания импульсных источников атомов или молекул, управляемых светом.

2013-FigPhotodes-ver1

На рисунке показана зависимость плотности азота в тонкой цилиндрической ячейке от времени. Достигнуто относительное увеличение плотности во время вспышки света к начальной плотности γ = npeak/n0 = 300 раз.

Публикации

  1. Атутов С.Н., Данилина Н.А., Микерин С.Л., Плеханов А.И. Фотодесорбция молекулярного азота с поверхности стекла // Автометрия. 2013. Т.49, № 6. С. 98–106.

Двухлучевые интерферометры, перестраиваемые вращением

При использовании двухлучевых интерферометров, формирующих периодические интерференционные картины, в исследованиях новых фоточувствительных материалов (фотополимеров, жидких кристаллов, фоторефрактивных кристаллов, органических и неорганических пленок и др.), в создании запоминающих, кодирующих и декодирующих устройств, фотолитографии и в других областях науки и техники большое значение имеет возможность быстрой перестройки угла схождения интерферирующих пучков при минимуме юстировочных работ, стабильность и компактность интерферометра.

Нами предложен способ перестройки угла схождения, производимой вращением интерферометра как целого относительно источника коллимированного светового пучка (далее исходный пучок), благодаря чему изменяется угол его падения на светоделительную поверхность. Проанализированы характеристики двух вариантов исполнения интерферометра, реализующих предложенный способ перестройки.

Вариант монолитного двухлучевого интерферометра [1] предельно прост — в нем светоделительный кубик является единственным оптическим элементом. Исходный пучок падает на входную поверхность кубика под углом φ > 45°. Парциальные пучки, преломляясь на выходных поверхностях, сходятся под углом 2α =2φ – 90. В схеме отсутствуют юстируемые элементы, что обеспечивает высокую вибростойкость интерферометра. Во всем диапазоне перестройки угла схождения (0 < 2α < 80°) реализуется нулевая разность хода на осях парциальных пучков благодаря зеркальной симметрии интерферометра относительно светоделительной поверхности.

2013-FigInterf-ver1

На рисунке показана возможность перестраивать угол схождения при фиксированном положении точки пересечения осей парциальных пучков (l = const). Такой режим работы интерферометра удобен для одновременной записи мультиплексных голограмм несколькими источниками света.

Вариант интерферометра [2] с дополнительными зеркалами, установленными неподвижно относительно светоделительного кубика, обладает расширенным диапазоном перестройки угла схождения (0 < 2α < 180°) и возможностью использовать пучки большего диаметра.

Публикации

  1. Микерин С.Л., Угожаев В.Д. Простой двулучевой интерферометр на основе светоделительного кубика // Оптика и спектроскопия, 2011, т.111, № 6, с. 1019–1025
  2. Микерин С. Л., Угожаев В. Д. Перестраиваемый голографический интерферометр с неподвижными зеркалами. Автометрия, 2012, т. 48, № 4, с. 20–32.

Optical humidity sensor based on photonic crystal opal film

A new type of colorimetric sensor for humidity measurements has been proposed on the basis of photonic crystal (PhC) opal films. Sensor does not require electricity and represent a PhC plate saturated by salt solutions on different areas, which becomes transparent with increasing of humidity more than a defined value.

The discovered effect is caused by vanishing of the band gap in transmission spectrum of the PhC film (Fig. 1). Upon reduction of humidity, the film regain its initial spectral properties in tens seconds.

The revealed effect gives an opportunity to detect more than 50 levels of humidity, which is determined by selection of slats. The sensor has high temporal stability and allows registering a relative humidity change with precision of 2%.

2013-paper1-fig1a-ver22013-paper1-fig1b-ver1
(a)(b)
Fig. 1. a) Change of the transmission of PhC opal film with NaCl salt applied upon an increase of relative humidity from 20 to 80%.; b) Photographs of PhC opal film under various values of relative air humidity (RH). LiCl (in the form of Cyrillic letter Н), NaCl (Г), KCl (У) salts are applied to various regions of film.

Publications:

  1. Chubakov V.P., Chubakov P.A., Plekhanov A.I., Humidity sensor based on photonic crystal opal film // Nanotechnologies in Russia, 2012, V.7, № 9-10. pp. 449-501.
  2. Chubakov V.P., Chubakov P.A., Plekhanov A.I., Humidity sensor based on photonic crystal opal films // Conference proceedings, Photonics of organic and hybrid nanostructures (Chernogolovka, Russia, 5-9 September 2011). P. 165.

 

2012

Когерентные изотопические эффекты в излучении газоразрядной плазмы

Обнаружено новое спектроскопическое явление, возникающее в газоразрядной плазме смеси изотопов Ne20 и Ne22 в области магнитных полей компенсирующих изотопический сдвиг частот переходов. Эффект регистрируется в виде оптико-магнитных резонансов, центрированных на магнитных полях отвечающих точной компенсации сдвига, он возникает на определенных переходах и проявляется в изменении населенности уровней перехода. Вследствие последнего свойства эффект, обусловленный каким-либо из переходов, наблюдается в излучении со многих других уровней, как в интегральном излучении плазмы, так и на ряде спектрально выделенных переходов (рис. а). В последнее время он зарегистрирован и в поглощении лазерного излучения (рис. б). Здесь сдвинутые резонансы связаны с пересечением частот ИК-переходов.

Форма резонансов нелоренцевая. В производной сигнала по магнитному полю, она может изменяться от куполообразной до близкой к производной лоренциана. В зависимости от типа перехода форма или одноконтурная (переходы J=1->J=0) или двухконтурная, типа пик в широком провале (переходы J=0->J=1).

Для спектроскопии газоразрядной плазмы и физики в целом подобные эффекты когерентной связи возбужденных атомов разных изотопов явление совершенно необычное и его природу еще предстоит выяснить. На данный момент анализируются возможности образования радиационно связанных состояний изотопических атомов и интерференции квазистатических полей ближней зоны излучения такой пары. Экспериментально проверяются следствия, вытекающие из этих моделей.

lab01-res2012-coherent-alab01-res2012-coherent-b
а)б)
Рис. (а) Резонансы в излучении на переходах неона: 1 – 2p9-4d'4, 2 – 1s2-2p1, 3 – 1s2-2p3, 4 - 1s2-2p4, 5 - λ = 6514 Ǻ, 6 - 2p10-3d5, 7 - 2p4-3s'''1, 8 - 2p2-3s1. (б) Резонансы в поглощении лазерного излучения (λ = 6328 Ǻ).

Публикации

  1. Saprykin E.G., Soroki V.A. Nonlinear phenomena produced by own spontaneous emission in low–temperature plasma of gas discharge. // Technical Digest of IV International Symposium on Modern Problems of Laser Physics, Novosibirsk, Russia, August 22-27, 2004, p. 239.
  2. Сапрыкин Э.Г., Сорокин В.А. Аномальные оптикомагнитные резонансы в спонтанном испускании смеси четных изотопов неона. // Труды IV международной конференции «Фундаментальные проблемы оптики», С–Петербург, 16-20 окт. 2006 г., с. 173-175.
  3. Сапрыкин Э.Г., Сорокин В.А. Деформация оптикомагнитных структур в излучении протяженного источника // Опт. и спектр., 2010, Т. 109, № 4, 573-580.

 

Динамика девозбуждения вырожденного двухуровнего атома вблизи (или внутри) материального тела

Предложен общий подход к описанию релаксации возбужденного состояния атома, находящегося вблизи (или внутри) материального тела. В этом подходе учтена вырожденность состояний реальных атомов по вращательным степеням свободы, что до сих пор в теоретических работах не было сделано. Показано, что из-за вырожденности атомных состояний динамика девозбуждения является не экспоненциальной, как считалось раньше, а описывается связанной системой дифференциальных уравнений для так называемых мультипольных моментов (мультиполей) возбужденного состояния. Количество мультиполей, вовлеченных в процесс девозбуждения атомного состояния, пропорционально его угловому моменту. Установлено, что динамика девозбуждения различна для разных типов возбуждения атома. В частности, при возбуждении атома светом она зависит от его поляризации и направления распространения. Показано однако, что для атома с угловым моментом возбужденного состояния, равным 1/2, такой зависимости нет. В этом случае динамика девозбуждения является экспоненциальной. Для системы с аксиальной симметрией (например, полуплоскость или сферическая частица) она будет также экспоненциальной для атома с угловыми моментами верхнего и нижнего уровня Jm=1 и Jn=0 соответственно и линейной поляризации возбуждающего света, направленной вдоль или ортогонально оси симметрии (а также для круговой поляризации света, распространяющегося вдоль оси симметрии). В этих случаях как возбуждение, так и девозбуждение идет по одному и тому же единственному пути в подходящей системе координат (см. рис. 1). Последний исключительный случай простого экспоненциального распада возбуждения демонстрирует атом с Jm = 3/2 , Jn = 1/2 при возбуждении его светом линейной поляризации вдоль оси симметрии. Во всех же остальных случаях динамика девозбуждения является более сложной (см. рис. 2).

2012-Deexcitation-Fig12012-Deexcitation-Fig2
Рис. 1. Возбуждение атома с Jm=1, Jn=0 светом линейной поляризации, направленной вдоль оси симметрии Z, ω и ωf - частоты возбуждающего света и девозбуждения соответственно, JmZ – проекция углового момента возбужденного уровня m на ось Z. Такая же картина будет и для возбуждения атома светом линейной поляризации, направленной ортогонально оси симметрии, в системе координат с осью Z, направленной вдоль поляризации возбуждающего света.Рис. 2. Зависимость населенности возбужденного уровня атома с Jm=1, Jn=0 от времени после возбуждения (отн. ед.) для различных ориентаций линейной поляризации возбуждающего света относительно оси симметрии: кривые 1, 2 и 3 отвечают ориентациям поляризации под углами соответственно 30°, 90° и 0°. Расчеты проведены для атома в ближней зоне от границы плоской поверхности, в условиях доминирования безрадиационной релаксации.

Публикации

Nikolaev G. Deexcitation Dynamics of a Degenerate Two-Level Atom near (Inside) a Body. - In: Smart Nanoparticles Technology. Abbass Hashim (Ed.). InTech, 2012. ISBN: 978-953-51-0500-8.

Эффект большой угловой дисперсии в структуре стекло — фотонный кристалл и сенсор на его основе

Обнаружен эффект большой угловой дисперсии для пленок опала в видимом диапазоне спектра, возникающий при преломлении и отражении света на границе стекло – фотонный кристалл (см. врезку на рис. 1а). Показано, что на фоне неизменного распределения по углам спектра отраженных и преломленных волн наблюдается темная полоса, соответствующая стоп-зоне фотонного кристалла, которая меняет свое спектральное положение при незначительном изменении концентрации ряда веществ, заполняющих поры кристалла.

2012-Fig1a2012-Fig1b-ver3
а)б)
Рис. 1. (а) Спектры преломленной брэгговской волны 2 (см. ниже) до (сплошная линия) и после воздействия (пунктирная) паров аммиака. На врезке показана схема взаимодействия света с пленкой опала на стеклянной подложке: 1 – падающий пучок белого света, 2 – отрицательно преломленная волна, 3 – отраженная волна. (б) Фотография спектра при отражении белого света на границе стекло – фотонный кристалл.

Публикации

Плеханов А.И., Кучьянов А.С., Заболотский А.А. Особенности проявления стоп-зоны в спектре дифрагированного на границе стекло-опал света // Письма в ЖЭТФ, 2009, т. 90, вып. 8. C.617–620.

 

Эффект фотодесорбции атомов рубидия в химически инертной полимерной органической пленке

Проведено детальное исследование эффективности фотодесорбции атомов рубидия предварительно накопленных в полимерной органической пленке. Исследования были проведены в стеклянной ячейке, внутренняя поверхность которой была покрыта пленкой (поли)диметилсилоксана (PDMS), облучаемой фотографической лампой-вспышкой. С помощью рубидиевой резонансной лампы, излучение которой использовалось как пробное, была изучена динамика плотности атомов рубидия в ячейке. Установлено, что около 25% всех атомов рубидия, внедренных в стенки ячейки, могут десорбироваться в течении единственного импульса света, а за несколько импульсов десорбируется почти 50% атомов. Полученые результаты могут быть полезными при разработке эффективных управляемых светом источников атомов для нового типа магнитооптических ловушек для атомов в условиях сверхнизкой плотности паров или очень слабых потоков атомов искусственных щелочных металлов (например, франция). Эффекты накопления и фотодесорбции частиц могут быть использованы при разработке сенсоров для обнаружения следов различных элементов (включая токсичные и радоиактивные), важных в экологических и геологических приложаниях.

Публикации

  1. Atutov S.N., Chubakov V.P., Chubakov P.A., Plekhanov A.I. Efficiency of photodesorption of Rb atoms collected on polymer organic film in vapor-cell // http://arxiv.org/abs/1006.5646v1 (2010).
  2. Atutov S.N., Chubakov V.P., Chubakov P.A. and Plekhanov A.I. Efficiency of photodesorption of Rb atoms collected on polymer organic film in vapor-cell // Eur. Phys. J. D, 2011, vol. 62. P.237–244.

 

Оптоволоконный химический сенсор на соединения аминного типа

Предложено использовать тонкие пленки функциализированных красителем частиц кремнезема в качестве сенсорного элемента для создания компактных оптических сенсоров химических веществ, легко сопрягаемых с оптоволоконными сетями для удаленного мониторинга. Для повышения чувствительности сенсора предложено наносить фотонно-кристаллическую пленку опала поверх основного сенсорного слоя. Обладая стоп-зоной на заранее заданной длине волны фотонный кристалл, в данном случае, служит селективным зеркалом. Такое покрытие обладает пористой структурой, не препятствующей взаимодействию окружающих веществ с сенсорным слоем.

Впервые реализована предложенная схема оптоволоконного химического сенсора на бутиламин. Сенсор включает в себя пленочную наноструктуру, нанесенную на торец оптического волокна диаметром 600 мкм. Она состоит из люминесцентных наночастиц кремнезема, модифицированных функциональным пирилоцианиновым красителем, синтезированным в НИОХ СО РАН, серебряных наночастиц и тонкого слоя фотонного кристалла. Покрытие сенсорной пленки сверху пористым селективным зеркалом в виде фотонного кристалла и внесение в неё наночастиц серебра диаметром 5–7 нм позволяет увеличить чувствительность сенсора в 10 раз. Чувствительность сенсора составляет 10–4 моль/л.

2012-Fig2

Рис. 2. Схема оптического химического сенсора на бутиламин, изготовленного на торце оптоволокна.

Публикации

  1. Болдов И.А., Кучьянов А.С., Плеханов А.И., Орлова Н.А., Каргаполова И.Ю., Шелковников В.В. Оптоволоконный химический сенсор на соединения аминного типа. // ФТТ, 2011, т. 53, вып. 6. С. 1088–1090.
  2. Болдов И.А., Кучьянов А.С., Плеханов А.И., Орлова Н.А., Каргаполова И.Ю., Шелковников В.В. Оптические химические сенсоры и датчик на бутиламин // Фотоника, 2011, № 2 (26). С. 56–60.

 

Explosive evaporation of Rb or K fractal clusters by low power CW radiation in the presence of excited atoms

We describe a new, spectacular, unpredictable effect of the explosive evaporation of metallic Rb or K fractal clusters, only in the presence of excited atoms stimulated by resonant CW laser radiation in a heat - pipe glass cell (Fig.3a,b, see also the next moves Potassium.avi, Potassium on the window.avi, Rubidium.avi).

2012-Fig3a2012-Fig3b-ver1
a)b)
Fig. 3. (a) When the resonance of the laser radiation is tuned to the D1 or D2 lines of (a) Rb or (b) K, a bright, compact vapour cloud is formed on the border between the hot and cold parts of the cell and begins to move against the laser beam. (b) Sometimes the movement of the cloud is stopped by the cell entrance window.

 

Evaporation occurs at low laser-power density, in the presence of a buffer gas. The effect consists of the generation of optically thick, sharply localized alkaline metals vapour clouds propagating in the cell against the laser beam. These clouds are charged and exhibit a strong luminescence of Rb or K spectral lines.

2012-Fig4
Fig. 4. Fluorescence spectra of the Potassium (a) and Rubidium (b) clouds.

 

We believe that the explosive evaporation of metallic fractal clusters observed is explained by the laser excitation of alkali atoms. The excited atom collides into the surface of the clusters and transfers its internal energy to the surface locally. This energy greatly raises the temperature of this local part of the clusters surface, melts it and decreases the fractal surface area. Because, in general, any fractal cluster systems have a high surface energy, any process which leads to decreasing their surface area can liberate the surface energy. This energy increases the total temperature of the clusters and eventually leads to the thermal explosion of the cluster.

Publications

  1. Plekhanov A., Shalagin A., Atutov S., Calabrese R., Tomassetti L., Guidi V. Explosive evaporation of Rb or K clusters by low-power laser radiation in the presence of excited atoms. - Proceedings of the SPIE, Volume 6726, pp. 67260D.
  2. Atutov S.N., Plekhanov A.I., Shalagin A.M., Calabrese R., Tomassetti L., and Guidi V. Explosive evaporation of Rb or K fractal clusters by low power CW radiation in the presence of excited atoms. // Eur. Phys. J. D, V. 66, No. 5 (2012), 140.

2011

Дисперсия квадратичной нелинейности поляризованных пленок хромофорсодержащих полиимидов в области резонансного поглощения

Получены рекордные значения нелинейно-оптического коэффициента d33 = 25÷50 пм/В в спектральном диапазоне от 800 до 1500 нм для ряда новых термически стабильных хромофорсодержащих полиимидов в виде тонких пленок. Установлено, что максимум значения сдвинут в длинноволновую область спектра относительно пика поглощения хромофора, что следует учитывать при создании электрооптических модуляторов на основе хромофор-содержащих полимеров.

Хромофорсодержащие полимеры привлекают пристальное внимание исследователей как перспективные материалы для применения в оптико-электронных и фотонных устройствах, таких как оптические переключатели, модуляторы света, оптические элементы логики и памяти, и т.д. Пленки хромофорсодержащих полимеров, поляризованных во внешнем электрическом поле, имеют макроскопическую квадратичную нелинейность, на один-два порядка выше, чем у кристаллических структур, а также пикосекундный оптический отклик и полуволновое напряжение ~1 В. Для практических приложений важным является то, что молекулярная структура хромофора и полимера могут направленно варьироваться с целью увеличения нелинейного отклика и термической стабильности образцов.

Электрооптический отклик таких систем (эффект Поккельса), также как и нелинейно-оптический отклик (генерация второй гармоники), имеют общую природу, которая определяется молекулярной гиперполяризуемостью. Как следствие, одним из наиболее простых и удобных методов измерения нелинейного квадратичного отклика на заданной длине волны является метод Мейкеровских биений, позволяющий производить количественную оценку относительно среды с известной нелинейностью (рис. 1).

Рис. 1
Рис. 1. Характерная угловая зависимость интенсивности сигнала второй гармоники тонкой поглощающей поляризованной пленки для p-p и s-p конфигураций поляризаций источник-приемник (Мейкеровские биения). Квадраты и треугольники соответствуют экпериментальным данным, а непрерывная кривая – результату наилучшей аппроксимации теоретической зависимостью.

 

В ходе работы были синтезированы и исследованы новые хромофор-полиимидные композиты с ковалентно присоединенными органическими красителями дисперсного красного 1 (DR1) и дисперсного красного 13 (DR13).

Сравнительное исследование эффективности генерации второй гармоники в серии новых хромофорсодержащих полиимидов и кристаллическом кварце позволило определить дисперсию квадратичного нелинейный коэффициента d33 полученных образцов в диапазоне 800-1500 нм.

 

Рис. 2
Рис. 2. Дисперсия квадратичного нелинейного коэффициента d33 (символы – экспериментальные данные на длине волны второй гармоники, сплошная линия – коэффициент экстинкции образца). На врезке показана структурная формула полиимида, содержащая ковалентно связанный хромофор DR-1.

 

Работа выполнена совместно с Институтом высокомолекулярных соединений РАН (г. Санкт-Петербург).

Публикации

  1. Yakimansky A.V., Nosova G.I., Solovskaya N.A., Smirnov N.N., Plekhanov A.I., Simanchuk A.E., Gorkovenko A.I. Dispersion of quadratic nonlinearity of polarized films of chromophore-containing polyimides in the range of resonance absorption // Chemical Physics Letters, 2011, vol. 510, № 4–6. P. 237–241.
  2. Якиманский А.В., Носова Г.И., Соловская Н.А., Смирнов Н.Н., Жукова Е.В., Смыслов Р.Ю., Некрасова Т.Н., Симанчук А.Э., Горковенко А.И., Плеханов А.И., Лыпенко Д.А., Мальцев Е.И., Хромофор- и люминофор-содержащие полимеры для оптоэлектроники// Всероссийская конференция «Фотоника органических и гибридных наноструктур» (г. Черноголовка, Россия, 5–9 сентября 2011). Сборник тезисов докладов. С.176.
  3. Simanchuk A.E., Plekhanov A.I., Gorkovenko A.I., Yakimansky A.V., Second-harmonic generation in poled chromophore-doped polyimide thin films within dye absorption band // ICONO/LAT 2010 (Kazan, Russia, August 23–27, 2010). Technical Digest, CD, ITuQ48.